Найдено результатов: 98
K2O2

Обзор и обучение на аппарате вакуумного и водородного гидропилинга H2O2

H2O2 7в1

Обзор и обучение на аппарате вакуумного и водородного гидропилинга H2O2

H2O: Просто добавь воды 1 сезон 1 серия «Метаморфоза» (сериал, 2006)

Видео инструкция к аппарату гидролпилинга h2o2 | Как работать на аппарате. Методики и подбор средств

КОСМЕТОЛОГИЧЕСКИЙ КОМБАЙН H2O2 (NOVA H202) (МАКСИМАЛЬНАЯ КОМПЛЕКТАЦИЯ) + обучение в подарок

H2O: Просто добавь воды 2 сезон 9 серия «Конная прогулка» (сериал, 2008)

H2O: Просто добавь воды 1 сезон 2 серия «Вечеринка у бассейна» (сериал, 2006)

H2O: Просто добавь воды 2 сезон 8 серия «По ту сторону трека» (сериал, 2008)

How It’s Done, 4-ый хит «Кейпоп-охотниц на демонов»

T2x2 УСТРОИЛ ХАОС В DALE & DAWSON STATIONERY SUPPLIES ► ДУРКА

Растворение позолоты в перекиси HCL+H2O2 The dissolution of GOLD

Обзор косметологического аппарата H2O2 новая модель

H2O2. Комбинированный аппарат для гидропилинга.

H2O: Просто добавь воды 1 сезон 25 серия «Доктор Опасность» (сериал, 2006)

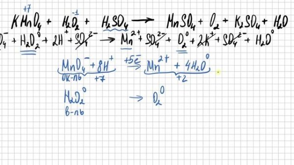
ОВР. KMnO4+H2O2+H2SO4

@Глубокая чистка+лифтинг (водородный гидропилинг аппарат 7 в 1 H2O2)

Обзор косметологического аппарата H2O2

H2O: Просто добавь воды 2 сезон 7 серия «В горячей воде» (сериал, 2008)

Hydrafacial Small Bubble H2O2 6в1

T2x2 УХОДИТ ОТ DONATIONALERTS

T2x2 ИГРАЕТ в в Dale & Dawson Stationery Supplies

H2O: Просто добавь воды 1 сезон 5 серия «Что-то подозрительное» (сериал, 2006)

H2O2 vs H2O2 с LED- маской. Гидропилинг.