Найдено результатов: 99
K2O2 H2O

KMnO4+H2O2+H2SO4=MnSO4+K2SO4+O2+H2O

H2o Just Add Water S03 - How The Tails Are Made ©/, Как снимали H2O

H2S+H2O2=H2SO4+H2O

Обзор косметологического аппарата H2O2

H2O Girls - Best Moments - H2O: Just Add Water

H2O: Просто добавь воды 2 сезон 23 серия «Безрассудство» (сериал, 2008)

H2O - Plötzlich Meerjungfrau | Komplette Spielfilm 2, H2O - Just Add Water

H2O2 vs H2O2 с LED- маской. Гидропилинг.

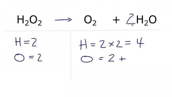
How to balance H2O2 → H2O + O2

How to Balance Li2O+H2O=LiOH|Chemical Equation Li2O+H2O=LiOH| Li2O+H2O=LiOH Balance Equation|

H2O2+KClO3=KCl+O2+H2O

H2O: Просто добавь воды 2 сезон 9 серия «Конная прогулка» (сериал, 2008)

H2O: Просто добавь воды 2 сезон 3 серия «Та, что уплыла» (сериал, 2008)

H2O just add water|H2O просто добавь воды

H2O2 + NaOH → NaHO2 + H2O

H2O2 + NaHCO3 = H2O + NaHCO4

H2O: Просто добавь воды 1 сезон 22 серия «Рыба не из воды» (сериал, 2006)

H2O: Просто добавь воды 2 сезон 5 серия «Фокус-покус» (сериал, 2008)

H2O / Просто добавь воды сезон 1 эпизод 05 "Похоже на рыбу" UHD 4K

How to Balance H2O2 = O2 + H2O: Decomposition of Hydrogen Peroxide

H2O: Просто добавь воды 2 сезон 13 серия «Лунная походка» (сериал, 2008)

How to Balance KO2 + H2O = KOH + O2 + H2O2

H2O. Аквапарк Ростов #waterpark #H2O

CU + HCl + H2O2 = CUCl2 + H2O