Найдено результатов: 97
Integration

Integration By Parts

ИНТЕГРАЛ С MIT INTEGRATION BEE| МЕЖДУНАРОДНАЯ ОЛИМПИАДА ПО РЕШЕНИЮ ИНТЕГРАЛОВ

Integration by substitution

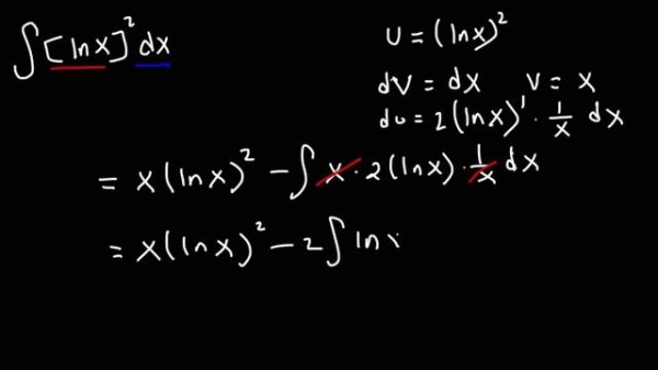
Techniques of Integration - Integration by Parts: 03. Two Step Example

DIY Intranet for WooCommerce Integration

UMA2RMAN — «Случайный вальс»

Integration_Showreel_2024

Интонация (In2Nation) - Прости

«Digital Q.Integration. Платформа для качественного решения интеграционных задач»

Юта — Мама

Continuous Integration — от простого к сложному

Обзор и прослушка Oris Electronics Type Integration

Павел Устинов – Медаль

24. Producer Integration Test (Kafka - полный курс)

Александр Бронников: "Я сейчас делаю всё, что могу, для общей победы" / Подкаст «Герои»

Сергей Маховиков – Горловская Мадонна

Иван Бондюков: "Задача спецназа - быть готовым к любым задачам" / Подкаст «Герои»

Николай Расторгуев — «Мгновения»
![[Homeassistant] วิธีติดตั้ง LocalTuya (Integration ที่เหนือกว่า Integration Tuya)](https://pic.rtbcdn.ru/video/2025-01-26/f7/0a/f70a79c923378aca887d4c4455ec2872.jpg?width=640)
[Homeassistant] วิธีติดตั้ง LocalTuya (Integration ที่เหนือกว่า Integration Tuya)

WLED & Home Assistant Integration

Methods of Integration

Integrating

LTI Integration vs. Building Block Integration

Integration of x square upon one plus x to the power 4 | Integrate x^2/1+x^4 |