Найдено результатов: 100
Integration By Substitution

Integration by substitution

Calculus Help: Integral of (arcsin(x))/x^2 dx - Integration by substitution and parts

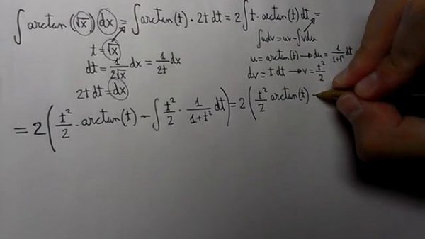
Integral of arctan(sqrt(x)) (substitution + by parts)

Calculus Help: Integral of sin^4x cos^4x dx - Integration by substitution

Calculus Help: Integral of dx/(sin^3x cosx) - csc^3 x secx dx - Integration by substitution

Интонация (In2Nation) - Прости

Integral of sqrt(1+x^2) (substitution + by parts)

TTH by darxioz

Integral of 1/sin^2(x) (substitution)

Интуиция: как развивать и применять?

Calculus Help: Integral of arcsinx/x^2 dx - Integration by parts and substitution

Calculus Help: Integral ∫ x^2 √(36-x^2 ) dx - Integration by trigonometric substitution

Интонация (In2Nation) - Прости (LIVE @ Авторадио)

Час ВОЗМЕЗДИЯ!Вашингтон настигла расплата:Путин отомстил США за захват.

акусита инопланетянин

Вот и все... Обман раскрыт.. Теперь только разрыв.. Ультиматум Вашингтону.

«Резервация» | Первая серия | Уже на КИОН

Broken Gameplay by CloudEngineer

💥Сцене все возрасты покорны! | ФАКТОР.BY 60+ | 4 сезон | 3 выпуск

Путь в «Сатурн»

Как инцест уничтожил великую империю?

Substitution

Спирит: Душа прерий (2002) / Spirit: Stallion of the Cimarron

Integration By Parts
Что ищут еще по теме: