Урок 1. Факториал. Сокращение факториалов. Алгебра 11 класс.
Описание
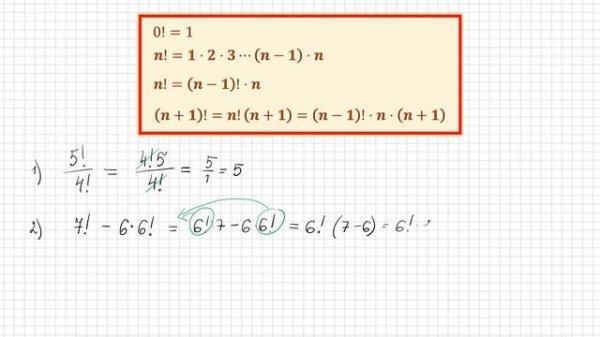
Что такое факториал? Понятие факториала. Как обозначается факториал. Алгебра 11 класс. Комбинаторика. Теория вероятности. Примеры с факториалами. Сокращение дробей с факториалами.
0:08 - Понятие факториала и его определение.
1:50 - Пример 1: Сократить дробь с факториалами.
3:22 - Пример 2: Решить уравнение с факториалами.
4:20 - Пример 3: Упростить выражение, содержащее факториал.
Примеры с решением и объяснением. Видеоуроки по математике. Устранение пробелов в знаниях. Подготовка к ЗНО ( ВНО ) по математике. Подготовка к ЕГЭ, ДПА ( ГИА ), ОГЭ по математике.
Автор Сизоненко Ольга.
Поддержка проекта https://xfresh.info/pomoshch-proektu
Математика онлайн. Дистанционное обучение. https://math.xfresh.info
#Факториал #СокращениеФакториалов #Алгебра11Класс #Комбинаторика #ТеорияВероятности #ПримерыСРешениями #ВидеоурокиПоМатематике #УстранениеПробелов #ПодготовкаКЗНО #ВНОПоМатематике #ПодготовкаКЕГЭ #ОГЭПоМатематике #Математика
Рекомендуемые видео




















