Найдено результатов: 100
N Series

HP Pavilion 15-n Series Disassembly, Fan Cleaning and Thermal Paste Replacement

vanos n series, n62 n73 bmw разборка

Keyboard replacement HP Pavilion 15-n Series

The Nerf N Series Infinite review! 40 dart chain mag?!

U N O CAPITULO 3 serie policial cubana HD

How to Calibrate Geometry for a CRT Display | Sony PVM N series Monitors

Inter-M: PMU N series
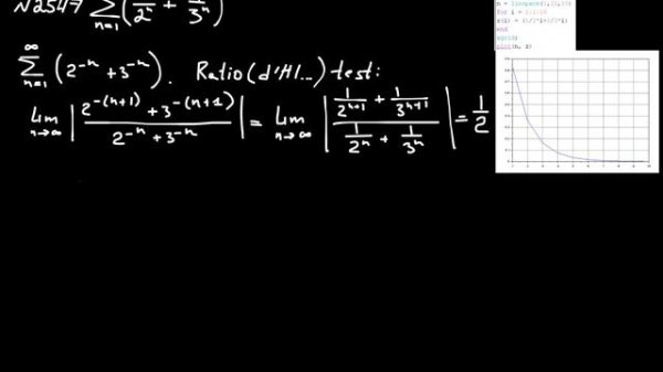
![#2547 (1/2^n+1/3^n) [Series]](https://pic.rtbcdn.ru/video/0a/29/0a29b556389358b8148ff8adfa44b60e.jpg?width=640)
#2547 (1/2^n+1/3^n) [Series]

Nokia N Series History

Обзор погрузчиков Noblelift N Series

Nokia N series History | N series all model mobile | Nokia N70,N73,And N9(2005-2014)#nasirhossainac

NXP: MCX N Series Launch Video

HOW TO USE THE N SERIES STAPLER

Инфузионная станция Mindray BeneFusion n Series

Isuzu N Series Servicepack Range Walkaround: Isuzu Australia Limited

Isuzu N Series Off-Road
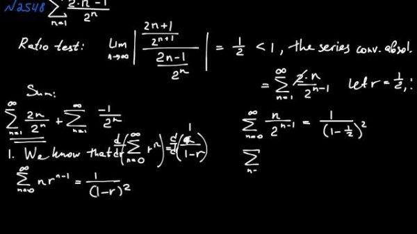
![#2548 Σ(2n-1)/2^n [Series]](https://pic.rtbcdn.ru/video/82/53/82531ad068d0b16ae3626ebb73a4da03.jpg?width=640)
#2548 Σ(2n-1)/2^n [Series]

Nokia WH 701 Earphones Headset For Nokia Xpress Music C Series N Series

M.A.N. Series в 1:14 масштабе

Néro the Assassin TV Series, season 1 - Official Trailer | Netflix

Обзор Isuzu Elf (N-series), 2023 года. Абсолютно новые, растоможен

Isuzu N-Series Smoother (AMT) - First Look

Посевной комплекс Series N-12000. Посев гороха. Алейский район

Nokia N-Series 2005-2011 год