Найдено результатов: 100
Integro Solutions

Учет рабочего времени на предприятии ThyssenKrupp Industrial Solutions

intext 11.6 chemistry class 12 | Ncert solution

operator does not exist: timestamp with time zone + integer in PostgreSql (2 Solutions!!)

Интерстеллар | Interstellar (2014)

29. Working with Others - Exercise and Solution

Вебинар по приложению «Интеграция с hh.ru» от IT-Solution

One Course Solution For Niagara VFX_part 4

International Insurance Solutions

Элементарно (2023)

One Course Solution For Niagara VFX_part 3

One Course Solution For Niagara VFX_part 2

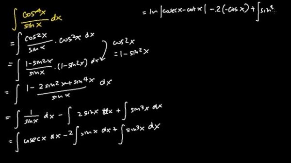
Integration of cos^4x/sin x (Solution)

One Course Solution For Niagara VFX_part 1

LeetCode 9 - Palindrome Number (Two Solutions, Integer and String) - Java Solution and Explanation

4. Exercise Solution - Part 2

Интерстеллар, 2014

ERR_SSL_KEY_USAGE_INCOMPATIBLE Solution (2 Solutions!!)

💥«Эгоистичный» интерьер 59 м²! ТАК МОЖНО БЫЛО? Сделали ВСЕ сами и вот что вышло

Inside hacker solution | CVE-2019-20372 PoC | NGINX http request smuggling

Software Engineering: Improving dependency inversion principle (2 Solutions!!)

Excitech_Integrated solution for panel productionE4+E6

CM2MTK v1.58 Not Open Solution (fault.bin) Just Solution

60+ ОТ ЗЕ.УТРО ВОИНСКОЙ ЧАСТИ НАЧИНАЕТСЯ НЕ С УТРЕННЕГО КОФЕ А С МАССОВОГО ЗАМЕРА ДАВЛЕНИЯ

Efficient Business Solutions
Что ищут еще по теме: