Найдено результатов: 99
Integration By Part

Integration By Parts

Techniques of Integration - Integration by Parts: 03. Two Step Example

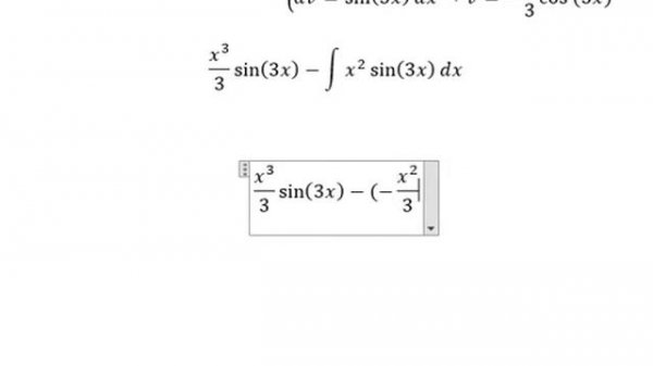
Calculus Help: Integral ∫ x^3 cos(3x) dx - Integration by parts - Solutions - Trigonometry

Integral of x sin x dx - Integration by Parts

Integral of arcsin(x) dx (Integration by Parts)

Integral of arctan(sqrt(x)) (substitution + by parts)

Calculus 2 ∫( Integration by Parts 4 )

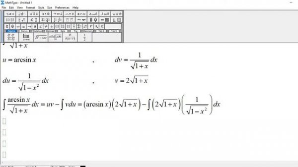
Integration by parts: Integral of arcsin(x)/sqrt(1 + x) dx

Calculus Help: Integral of arcsinx/x^2 dx - Integration by parts and substitution

Calculus Help: Integral of ∫ x^3 cos(x/3)dx - Integration by parts - Techniques

Calculus Help: Integral of (x arcsinx)/√(1+x^2 ) dx - Integration by parts and Elliptical Integral

Интеграл: Азы интегрирования. Высшая математика

Изменить порядок интегрирования в двойном интеграле

Integral of ln(3x)dx (Integration by Parts)

Изменение порядка интегрирования в повторном интеграле

Integral of sqrt(1+x^2) (substitution + by parts)
![[KPOP DANCE IN PUBLIC | ONE TAKE] HUNTR/X - Takedown | by VIBE SHIFT](https://pic.rtbcdn.ru/video/2025-09-12/56/98/5698cc5a2b94bfd8c6174f9c19f01dad.jpg?width=640)
[KPOP DANCE IN PUBLIC | ONE TAKE] HUNTR/X - Takedown | by VIBE SHIFT

Calculus Help: Integral of (arcsin(x))/x^2 dx - Integration by substitution and parts

Интегрирование 1. Таблица интегралов, правила интегрирования

Integration by substitution

Integral of (e^x)*cos(x) (by parts)

Дэмиан 16 - Волшебная карта (Prod.by Young Criper, Cover.by lilsemmi :#)

Integral of 1/cosx #Intergral of dx/cosx #Intergral of 1/cos dx #Intergral by part dx/cos INTEGRAL

Неопределенный интеграл Интегрирование по частям