Найдено результатов: 100
Determine Domain Of The Function

Timeline of the Earth: From its Formation to Destruction

Область определения логарифмической функции.The domain of a logarithmic function.

DETONATION OF A CARTRIDGE IN FIRE

How To Find The Domain of a Function - Radicals, Fractions & Square Roots - Interval Notation

Planning function of the Managment process

Все виды монстров Doctor Nowhere

Прохождение ► Detroit: Become Human ► #3. Свободны жить во тьме

Finding the Domain Restriction of Square Root and Hyperbolic Functions

✨Человек-паук и Диана✨ Играем в доктора. Видео для детей. Hunny Di💕

Determine a Generating Function for the Sequence: 1,4,9,16,25,… Using Differencing

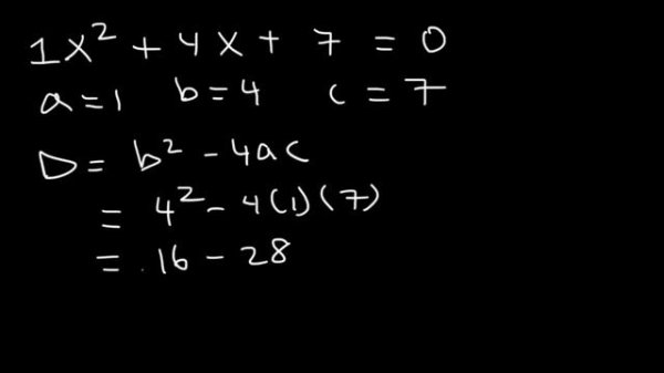
How To Determine The Discriminant of a Quadratic Equation

All Skins/Outfits/Characters in the Gallery - DETROIT BECOME HUMAN

04 - Offenders Of The Throne (DESTRUCTION)

Uncertainties in the Determination of Jupiter's Core

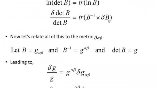
Variation of the metric determinant

Find the domain of the function `f(x)=sin^(-1)sqrt(x-1)`
![The midpoint of domain of the function
\[
g(x)=\sqrt{4-\sqrt{2 x+5}}
\]
(a) \( \frac{-2}{5} \)
(...](https://pic.rtbcdn.ru/video/2025-01-13/cb/cd/cbcdda5f15390ab7047c2f4e7bc172db.jpg?width=640)
The midpoint of domain of the function
\[
g(x)=\sqrt{4-\sqrt{2 x+5}}
\]
(a) \( \frac{-2}{5} \)
(...

АЛМАЗ НЕ МОНСТР! (Спаси фигуры) - GameToons Анимация | fReelaN SHOW

Determine the theme of a poem

Jumong # 72 determination of the speed of light

Дом странных детей Мисс Перегрин (фильм, 2016)

Experiment 4: Determine the exact molarity of Na2CO3 solution volumetrically.

System Of A Down - Aerials

Five Little Oranges Jumping On The Bed | Nursery Rhymes | Kids Songs | Children Rhyme
Что ищут еще по теме: