Найдено результатов: 100
Cus Co2

Решение цепочек превращений по химии, Cu CuCl2 Cu(NO3)2 Cu(OH)2 CuO CuSO4 CuS SO2 H2SO3

Как настроить GG Mouse и играть в Standoff 2 с помощью клавиату

CuSO4 + 2NaOH=Cu(OH)2 + Na2SO4

Чистка CO2 диффузора. Легко и просто / Easy CO2 diffuser cleaning

CuSO4+NaHCO3+H2O2=CuO+H2O+O2+CO2+Na2SO4 CuO(შავი)+H2SO4=CuSO4+H2O

How It’s Done, 4-ый хит «Кейпоп-охотниц на демонов»

Soda Pop, третий хит «Кейпоп-охотниц на демонов»

дедукция в CS 2

KUBEY Tityus KU322 & Coeus KU122 Обзор, разбор и много новых, ярких вариантов!

KOH +CuSO4 =Cu(OH)2 +K2SO4 Balanced Equation||Potassium hydroxide+Cupper sulphate Balanced Equation

КАК СДЕЛАТЬ КАРТУ в CS 2 И ЧТО НУЖНО ЗНАТЬ ?

CPS 2.0 - Программирование радиостанций Motorola MotoTRBO

CS:GO СО СКИНАМИ Карта: Dust II 2026-02-18 20-52-03

T2x2 СМОТРИТ ► МЫ СОЗДАЛИ 100% COCA-COLA (НЕ КЛИКБЕЙТ)

How to Balance Cu + H2SO4 → CuSO4 + SO2 + H2O | Chemical equation Cu+H2SO4=CuSO4+SO2+H2O

Live: NaVi vs G2 | PGL Cluj-Napoca Group Stage | Day 5 18.02.2026 cs2 кс 2 кс2 cs2
![C.C.Catch - Heaven And Hell [1986]](https://pic.rtbcdn.ru/video/08/ab/08ab691c410e64f4335170314f8b0fe7.jpg?width=640)
C.C.Catch - Heaven And Hell [1986]

инструменты

Cu + O2 và CuO + H2

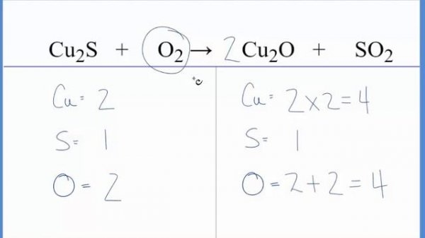
How to Balance Cu2S + O2 = Cu2O + SO2

Тест Co2 баллончиков 🤔 : выбираем лучший для твоего пневмата 🤙

Meru the Succubus OVA 2 Full Audio

CO2 маркер! По дереву и другим материалам! Краткий обзор и результаты гравировки.CO2 маркер! По дере

Company of Heroes 2 Часть 5 СЕН-ВИТ
Что ищут еще по теме: