Город МОСКОВСКИЙ
Найдено результатов: 100
Airtex 1659

Blam 165 R2X vs FOCAL FLAX EVO PS 165 FE

GTX 1650 - САМАЯ ПОПУЛЯРНАЯ ЗАТЫЧКА / Gtx 1650 vs 1060 3gb.

✅Краш тест китайской подделки беспроводных наушников AirPods Pro 2!#краштест#наушники#обзор

Обзор и прослушка Dl Audio Gryphon Lite 165 V.3

Урал молот 165 и DL AUDIO Gryphon lite 165 сравнение и прослушка

165 герц

Топовая компонентная и коаксиальная акустика от Dynamic State! SLE-165.2 и SLE-165cx

Audio System M 165 Evo2 и Tonemix ICN-6.2P

Сравнение Dynamic State PM 165.3 165.2 165.1 + прослушка!

Flex Air 1-8 - ALL EPISODES

Вентилятор "ENERGY EN-1659" из магазина "Светофор" - сборка.

Speedglas 9100Xxi Fx Air,Optrel VegaView 2.5 e3000,Kemppi beta 90XFA

Обзор I16 Pro max за 3200₽. Самая дешёвая копия iPhone 16 Pro Max с ozon

Обзор Tanix TX5 Android 14 TV Box - что не так с Amlogic S905Y5?

AIC CF8500. Очиститель воздуха. Простой и хороший. Воздухоочиститель на 20-30 м². #6

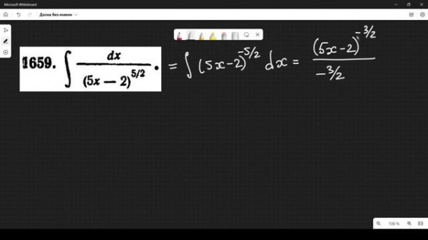
#1659 Номер 1659 из Демидовича | Неопределённый интеграл

Тест Ryzen AI 9 HX 370 и графики 890m

А КАКОЙ У ТЕБЯ ПИТОМЕЦ? ))) Приколы | Мемозг 1659

Сравнение Hertz ESK 165.5 и Hertz ESK 165L.5

Обзор маски 3M Speedglas 9100XXFX AIR с блоком для очистки воздуха Adflo (Li-lon) от Своего Сварщика

Hertz DCX 165 vs 165.3 4K (FNS)

Битва под Конотопом 1659 года: история против пропаганды

#жарим мясо с электрогриль kitfort KT-1659

Замена штатных динамиков в Hyundai Tucson 1 на DL Audio Gryphon Pro 165
Что ищут еще по теме: