Найдено результатов: 99
A B C Games

A B C D E F G H I

5 новых промокодов в игре C.A.T.S

A B C Phonic Letters A B C D E F G Song Learning Alphabet Game Best games for kids
![C R A B V I B E [Crab Game Soundtrack]](https://pic.rtbcdn.ru/video/f1/39/f139fd12f33eaca7266006125393eae7.jpg?width=640)
C R A B V I B E [Crab Game Soundtrack]
![Roblox B core | Rainbow startup and self destruct [NOT PROTOCOL C.A.S.S.I.E] (My most commented vid](https://pic.rtbcdn.ru/video/89/0e/890e19d4d7ad9c25766c4c63abac45c5.jpg?width=640)
Roblox B core | Rainbow startup and self destruct [NOT PROTOCOL C.A.S.S.I.E] (My most commented vid
![Duck Hunt [Famicom light gun / NES Zapper] | [4K] | Game A, B and C session 🎮](https://pic.rtbcdn.ru/video/78/57/7857fb0c4399c3782ca9754e23979837.jpg?width=640)
Duck Hunt [Famicom light gun / NES Zapper] | [4K] | Game A, B and C session 🎮

Типы автоматов A,B,C,D

Kids saylibritgame ,kids education game. Kids A.B.C.D alphabet game.kid birthday game

На координатной плоскости изображены векторы a, b и c. Найдите значение выражения (a-b)*c . - №1162

Вирусные гепатиты A, B, C, D, E

a b c

A B C D. a for Apple b for bat c for cow. English alphabet ABC.phonics song. A B C song

Ngày 2_ Thực Tế Bữa Cơm Cách Li Có Gì

ИГРАЕМ В C A L I B E R | ЗАКИНЬ В ТОП!

№237. Сравните стороны треугольника ABC, если: a) ∠A∠B∠C; б) ∠A∠B=∠C.

A B C D. a for Apple b for bat c for cow. English alphabet ABC.phonics song. A B C song for childre

3D модель Скамейки A B C D. 3D model. "Bench A B C D free."

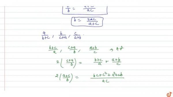
If a, b, c are in HP., then `a/(b+c),b/(c+a),c/(a+b)` are in

что такое A.C.A.B. или 1312

Разложить на множители (a+b+c)³-a³-b³-c³

Я Проник В ДОМ к Erox Blox В РЕАЛЬНОЙ ЖИЗНИ И ВЗЛОМАЛ ЕГО АККАУНТ в STEAL A BRAINROT ( СПАЛИЛ ЛИЦО)

KEAN DYSSO - C B M

Wu-Tang Clan - C.R.E.A.M (HD) Best Quality!

N I C K E L B A C K Greatest Hits Full Album - N I C K E L B A C K Best Songs
Что ищут еще по теме:
- a b c games
- abc games for kids
- abc games for kids online
- abc games
- 1 the highland games are an annual event. a true b false c doesn t say
- abc games wordwall
- abc games vk
- 2 the games are in winter. a true b false c doesn t say
- abc games online
- match the pictures to the games. a darts d chess b bowling e billiards c backgammon