Найдено результатов: 100
Technology Gadget Reviews

rec#1 13 10 01

В городе моем

Уважайте друг друга на дороге.

2025 TENET T4 ПРЕДЕЛЬНЫЕ ВОЗМОЖНОСТИ ПОЛНОГО ПРИВОДА

2.5 Человека

Vocabulary for technological gadgets | Technology and gadgets vocabulary - boost your tech knowledge

Ремонт двигателя беговой дорожки.

секретные материалы

Дозорные дорог - Маршрутные транспортные средства

TJOC НЕ РАБОТАЕТ(

mi flash tool error ping target failed
![3RACHA - Eunseoki (은석이) [rus.sub/рус.саб]](https://pic.rtbcdn.ru/video/9e/f1/9ef13df02830fcf1957a6e9505a6996b.jpg?width=640)
3RACHA - Eunseoki (은석이) [rus.sub/рус.саб]

2025 TENET T4 AWD POV TEST DRIVE

Сергей Жуков - Ты моя. Из шоу «Конфетка»

Прогноз астролога - Константин Дараган - о ближайшем будущем

Corey Taylor Meets Slaughter To Prevail

Technological Gadgets Lesson

Армянское попурри Тома Арутюнян !

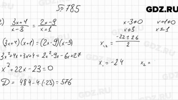
№ 785 - Алгебра 8 класс Мерзляк

DHCP Server Installation and Configuration

КАК ОБЩАТЬСЯ С НЕАДЕКВАТАМИ В ДОТЕ 2

Ицхак Пинтосевич - ВЫБОР - возьми ответственность за свой выбор

ПОДОЗРИТЕЛЬНАЯ ПОЛИНА - Прохождение второй эпизод эпизод | Tiny Bunny (Зайчик) #5

Ensalada de Bacalao, Codfish Salad. Eps #9