Найдено результатов: 100
Political Perspectives

POLAROID SPECTRA AF INSTANT FILM CAMERA

03. Comparison degrees of adjectives

Baby Einstein - Baby MacDonald (2009) (Grow With Me)
![Применение оружия полицейскими: Прогулки с офицерами [Выпуск 253 2025]](https://pic.rtbcdn.ru/video/2025-12-14/44/29/44298c4c8f42f5f35d15471b39bdc93a.jpg?width=640)
Применение оружия полицейскими: Прогулки с офицерами [Выпуск 253 2025]

Azim Mullahonov. Ota

группа Весна Самый близкий человек

Гвоздезабивной пистолет

Yulduz Usmonova - Achom achom / Юлдуз Усмонова - Aчом ачом

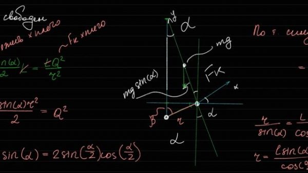
Мякишев. Электродинамика. Упражнение 1.9

Possessive Adjectives

Обзор отеля Limak Atlantis Deluxe Hotel, Турция, Кемер

Kaffeeautomat Siemens TI907501DE02 Fehler E 0532

Revline Ultra Force C3 5W40 Test olejów silnikowych Piotr Tester

«Уфимский разворот»: Ильшат Байбурин о работе над брендом Terra Bashkiria

Выпуск №21. Нина Малкина - бестселлер RUGRAM

ТАЙНА МЕДНОЙ КОПЕЙКИ СЕРЕБРОМ

Европейский пикник на обочине: Стратегия Вашингтона и ответ Москвы.Ирина Алкснис в эфире

Дёмина Анастасия "Сонца грэе"

Чистим зубы по умному - Обзор умной зубной щётки USMILE Y10 Pro #usmile

Anjeliq House Boutique Hotel

ПЕРСПЕКТИВА | М. Шингаркин: Прибыль в США и Францию, а России - отходы и нищета...

Accessibility: Introduction, Perspectives and Applications

Victoria’s Secret Fashion Show --- Selena Gomez - Me & My Girls

Как подключить умную Rgb лампочку Е14, zegbee лампа, алиса умный дом!