Найдено результатов: 98
Php И Codeigniter

PHP и CodeIgniter с Нуля Создание Динамических Web-Сайтов. (Дмитрий Науменко)

CodeIgniter - Знакомство и установка php-фреймворка

?CodeIgniter 4 | Знакомство и установка PHP фреймворка | Часть - 1?

Установка и настройка CodeLobster | Уроки по PHP | Урок 2
![How to Run PHP Using Visual Studio Code 2023 - [ PHP VSCODE ]](https://pic.rtbcdn.ru/video/86/c7/86c7da513d3cb7d4baa08629ff5d578d.jpg?width=640)
How to Run PHP Using Visual Studio Code 2023 - [ PHP VSCODE ]

CODEIGNITER для начинающих. Урок #1. Установка и настройка фреймворка CodeIgniter и MVC

Установка и настройка PHP CodeSniffer в PhpStorm

CodeIgniter Basics | PHP - MVC Framework CodeIgniter Tutorial with Project | Part 1

Codeigniter PHP Tutorials in Urdu/Hindi part 27 User Agent

CONFIGURING CODEIGNITER FILES (PHP FRAMEWORK) || CURD APPLICATION USING CODEIGNITER

Добовление камеры в приложение Smart Life.

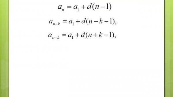
Тема 15. Арифметическая прогрессия и её свойства

?CodeIgniter 4 | Пишем регистрацию пользователя в CodeIgniter 4 | Часть - 8?

Installation of PhpSpreadsheet in CodeIgniter using Composer

Создаём сайт каталог. PHP. CodeIgniter.Урок 32. Добавление в корзину из попапа

M4A4 (SA50) «Кошерный Шерман» | War Thunder

Joomla 2.5.28 Exploit

Criando estruturas clássicas de repetição em PHP

TELEGRAMDA BEPUL PHP BOT OCHISH // TELEGRAMDA TEKINGA MUKAMMAL BOT OCHISH

Rome - Total War моддинг 02 - Генерация спрайтов

ниндзя черепашка на детский день рождения

Озвучка Вячеслав Замес для WOT

Система Учета Питания Ежедневное меню

RCD330+ Desay альтернативное меню через кнопку media