Найдено результатов: 99
Opulent Oasis
![Oscar's Oasis New 2017 - Multiple episode Multiple fun -HD[1080p]](https://pic.rtbcdn.ru/video/fa/6d/fa6d7b1331d2ddd0387d8758621440d8.jpg?width=640)
Oscar's Oasis New 2017 - Multiple episode Multiple fun -HD[1080p]

Best Songs of Oasis - Oasis Greatest Hits Full Album - Oasis Collection New

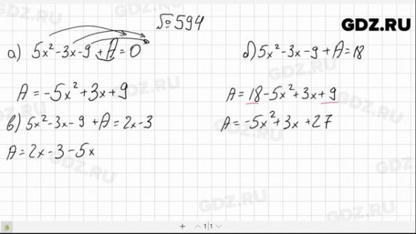
№ 594- Алгебра 7 класс Макарычев

oasis - 09 Live Forever (Live at V Festival 20.08.2005)

ПЁС Сожрал Выключатели

Оазис .mp4

Лунтик Учит цифры Обучающие мультфильмы для детей

2 Инструкция по охране труда для офисных работников

Оазис

Oasis live at Brit Awards 14 02 2007

На вкус и цвет товарищей нет!

ПРАВИЛЬНЫЙ ЗАМЕС БЕТОНА. ПОРЯДОК ЗАСЫПКИ МАТЕРИАЛОВ В БЕТОНОМЕШАЛКУ!

выезд в Усть Тарку

Alumil m 900

Мальчик описался

ЛУЧШАЯ ИГРА НА PS4 В ПЛАНЕ СЮЖЕТА

Oclean X10 Smart Electric Toothbrush #oclean #toothbrush #X10

Электроавтомобиль будущего.Видео обзор.

Багдадский вор

Аниме клип Я люблю свою семью

FS19 Timelapse #2 Уборка пшеницы Ростсельмаш ACROS 595

OASIS - LIVE ON LATER WITH JOOLS HOLLAND - LONDON, UK 11/02/2000 (4K)

Hotel review Reef Oasis Blue Bay Resort & Spa 5. Egypt

Упс… Ной уплыл! (2015) / Ooops! Noah Is Gone...
Что ищут еще по теме:
- reef oasis beach шарм эль шейх
- domina coral bay oasis 5 шейх коаст отзывы
- grand oasis resort 4 шарм эль шейх
- шарм эль шейх reef oasis beach resort 5
- sentido reef oasis senses aqua park resort шарм эль шейх marine sports club street
- reef oasis beach шарм эль шейх отзывы
- reef oasis blue bay 5 египет шарм эль шейх
- отдых в reef oasis blue bay 5 шарм эль шейх египет обзор отеля все включено видео от саша коновалова
- шарм эль шейх reef oasis beach resort
- domina coral bay oasis 5 египет шейх коаст