Найдено результатов: 100
Math Maniacs

Парковый маньяк (2024) / The Park Maniac / Maniaco do Parque

STRAY KIDS-MANIAC

Stray Kids "MANIAC" (4K)

Maniac, Maniac, Maniac... YOBBO! | Jeremy Clarkson

Michael Sembello - Maniac

Встанем

Fnas Maniac Mania - Maniac mania (Ultimate) 43/50!!

Metal Maniacs. Live на Видное Радио

формула скорости

Глупые моменты Формулы 1.

Abraham Mateo - Maniaca - KMA 2024

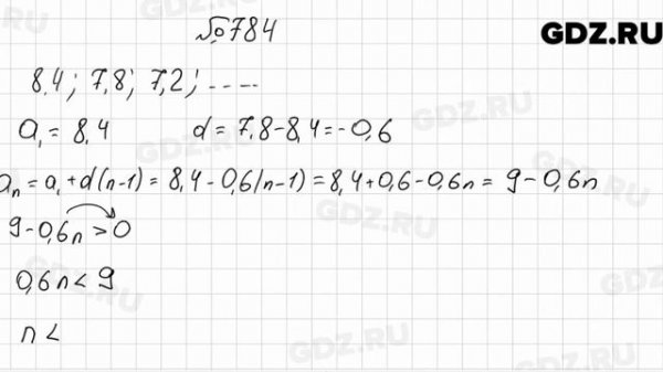
№ 784 - Алгебра 9 класс Мерзляк

Солнечный круг

Straykids-Maniac

Celtic — ОТЛИЧНАЯ ДУСТВОЛКА ● Гайд от А до Я ● ЛучшееДляВас

Maniac 1 серия

Задачи на уравнивание 5 класс

Уч ўринли сонга кўпайтириш

Блокировки дифференциала, разновидность и принцип работы

№ 153 - Математика 4 класс 1 часть Моро

Бой бес правил Адильхан vs Мансур Шок!!!

Фаленопсис РУБИ ДАЙМОНД, размер цветка 6 см., ароматный

Aria math - @C418 1 hour

Texas Maniac