Найдено результатов: 100
Low-Cost Solutions

Multiple instances Klipper: BigTreeTech Pad 7 / CB1, low-cost Klipper solution for multiple printer

Home Backup Power - Batteries, Generators, Air Filtration and Low Cost Resilience Solutions

MN99S | DIY SERVO MOUNT | LOW COST SETUP | BODY TILT PROBELM | PROBLEM SOLUTION | BEGINNER MOD

LOW-COST hydraulic hose solution (don’t buy custom made hydraulic hoses)

Low cost part separation using a vibration table with a delta robot and motion controller

Low Cost Slab House Design Philippines

Иллюзия обмана 2

Most popular phones low battery sounds

Low Cost Dolby Atmos 5.1.2 Demo

Распаковка Metal Cardbot S. Метал Кардбот С. Все роботы 2 сезона

Astro bot

Integration of cos^4x/sin x (Solution)

El Chombo - Dame tu cosita - backwards

Новый эхолот lowrance Eagle vs Reveal. Сравнение новинок на воде.

Выехал потестить эхолот Lowrance Eagle 9 с датчиком HD Tripleshot и прогуляться по воде

Low-code платформы – средство кастомизации или полноценный инструмент цифровой трансформации

💄🛍️ BIG HAUL MAKEUP LOW COST... 💄🛍️ ESSENCE..💄🛍️.

Reverse Dame Tu Cosita

7. Creating Low Poly Trees - Part 3

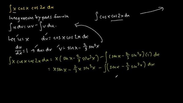
integration of x cos x cos 2x (Short Solution)

Speeduino : Low cost, open source ecu

25. Creating Low Poly Characters - Part 3

Распаковка Metal Cardbot W. Метал Кардбот Вайлд. почти все роботы 3 сезона.

Low frost system