Город МОСКОВСКИЙ
Найдено результатов: 100
Interesting Gaming Discussions

Обзор игры Disciples Liberation | Обзор серии Disciples

«Оживить франшизу, но не делать Disciples 4»: интервью с геймдизайнером Disciples: Liberation

Disciples II Дисциплес 2 Орда нежити в ИИ.

8 февраля 2021 г.

Disciples 2. Шаблон Аscension - Bonyth vs EugenScorpion! Шоу-матч с призовыми!

Спящий человек

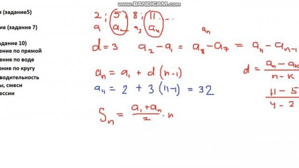
Как решать задачи на арифметическую прогрессию?

Disciples II on Android by ExaGear Strategies 2.8.2

Как не надо какать.

Disciples 2. Турнир новичков "Покоритель Невендаара" - ФИНАЛ! High_narc vs SimplyDemon! Bo3

PS1 Startup Error
![100% Русские комментаторы в FIFA 18 [ORIGIN]](https://pic.rtbcdn.ru/video/75/0e/750eb549bdc972ec284af89590ae0c13.jpg?width=640)
100% Русские комментаторы в FIFA 18 [ORIGIN]

Тина Кароль прокомментировала отношения с Даном Баланом

OCI Weekly Discussion - 2021-06-30

Нюша и папа спасают котят. СПАСЕНИЕ КОТЯТ. Нам подбросили КОТЯТ.

Андрей Ашкеров о гражданском обществе

Юрий Белоусов _Диалектика добра и зла

Биполярное аффективное расстройство. Коморбидность с аддикциями. Доказательные схемы лечения

Κατερίνα Λιόλιου - Στην Υγειά μας ρε παιδιά (16-11-2019)

Лучший момент из фильма Духлесс

Онлайн лагерь English Discussions

Гаара и Фу против Хоичи (EN)

GENCE VE GENCELERE 2020

roblox mtb project #1.