Найдено результатов: 100
Household Helpers

Аренда коттеджа посуточно «Риплхаус» в Новосибирске(Викенд-Хаус.су/weekend-house.su)

«САМЫЙ СТРАШНЫЙ МОД… Hello Neighbor Fredbear Mod»

Бомбошка к шапке.

ветпром 15 лет с правками

TRUEтень - ✵Дайте Пламя ✵

⭐DOBIL SEM NOVI GAMERSKI TV!!! (HISENSE 55E7KQ PRO)⭐

Самсунг LE-32B450 C4W

как построить океанариум в майнкрафте

LG диагональ 40 дюймов

"The Fearless Wanderer: A Nomadic Widow's Journey as a Household Helper"

Build House and Vehicles Game for Kids House builder Gameplay House builder game android

household chores

Правильные блины: печем на сковороде helper house

Household Chores In English

Видеоообзор универсального моющего средства кислородный гель.

😜 НОВЫЕ ПРАНКИ над ПРИВЕТ СОСЕД Dark Riddle 2 Story mode Игра похожая Hello Neighbor КОТЁНОК ЛАЙК

Как мусульманин должен ходить в туалет.

Новинка: обзор сковороды helper house серии Brilliant для индукционной плиты

Камаз 5511 модель из бумаги

ШОУ ПРИВЕТ СОСЕД!ТЯП ЛЯП КАКОЙ-ТО!ИГРА HELLO NEIGHBOR MOD KIT ПРОХОЖДЕНИЕ МОДА The Next Mod!ПРИКОЛЫ!

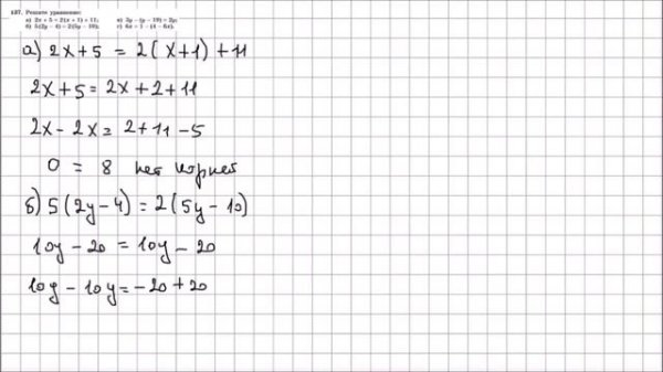
Алгебра 7 класс Макарычев, Миндюк УПР 137

Lars Behrenroth – Deeper Shades of House 938

Helper House – российский бренд посуды для любой плиты

Iphone 7 plus замена аккумулятора//#RepairKing