Город МОСКОВСКИЙ
Найдено результатов: 99
Happy Shopping Tips

HOBBY SHOPPING GOODNESS & TIPS

Happy Happy Happy Cat 10 Hours

HAPPY FACE на русском
![Happy Happy Happy Cat [1 HOUR]](https://pic.rtbcdn.ru/video/bb/43/bb43d04deb7ea338bce1484c75432c8e.jpg?width=640)
Happy Happy Happy Cat [1 HOUR]

Shopping: Grocery Shopping
![[Happy Fresh] Научил РЕБЁНКА Играть в Grow a Garden (ВЫРАСТИ САД ROBLOX)](https://pic.rtbcdn.ru/video/2025-07-30/d5/79/d579cde491fa38b515d68c98a59e51d0.jpg?width=640)
[Happy Fresh] Научил РЕБЁНКА Играть в Grow a Garden (ВЫРАСТИ САД ROBLOX)

ВСЕ ВИДЫ ЧИКИБАМБОНИ ПЕСНЯ | ЧАСОВАЯ ВЕРСИЯ

Shopkins | Happy Places The Lil' Shoppies of Happyville - Cozy Bear Bedroom | Videos For Kids

Shops and shopping

🌷 В Фикс Прайс купила не задумываясь посуду, мелочи для кухни, органайзеры, сумку, кашпо, семена

ПОМОЛИСЬ НА ХАРДКОРЕ

Самые Шокирующие гипотезы с Игорем прокопенко 16.11.17.год.

▼ОНО ЕЩЁ И РУССКОЕ

Frostpunk НА УЛЬТРА ХАРДКОРЕ ⛏❄

Shopkins | Happy Places The Lil' Shoppies of Happyville - Card Games | Cartoons for Children

Happy Happy Happy

🔥 В Фикс Прайс привезли посуду для Пасхи, яркие салфетки, кухонные штучки с цветами. Новинки

Веселые лесные друзья (happy trees friends) 2020 смотреть онлайн

ВЫБЕРИ ПРАВИЛЬНЫЙ ТЕЛЕФОН В МАЙНКРАФТ

Pet Shop Boys – Мой сборник

Сериал Хэппи - 1 сезон 1 серия / Happy

Сериал Хэппи - 1 сезон 3 серия / Happy

Аквариум - Мама Я Не Могу Больше Пить

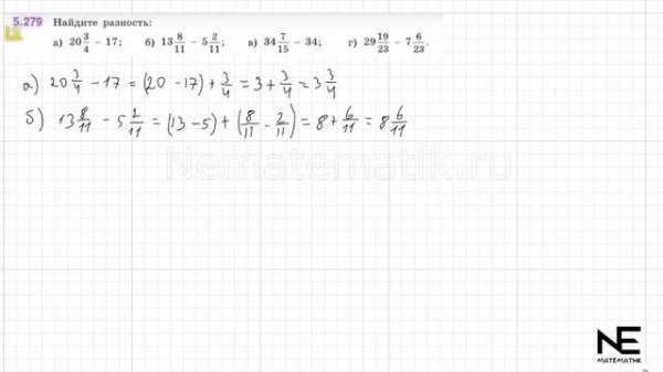
Задание №5.279 Математика 5 класс.2 часть. ГДЗ. Виленкин Н.Я.