Найдено результатов: 99
Escape From Reality

Escape from reality dark electronic

Oleg Polar - Escape from Reality 20

Techno / Cyberpunk / Industrial beat mix Escape from reality

All Bill Cipher Scenes in Escape from Reality

Escape from Tarkov Первый рейд

РЕАЛИТИ-ШОУ ВЫЖИВАНИЕ *день 1*

Escape from Tarkov

Oleg Polar - Escape from Reality 21

lets escape from reality // #playlist //

Public Enemy

Clash Royale необычная победа

ВСЕ КОНЦОВКИ в игре АПЕЙРОФОБИЯ 2 роблокс | Apeirophobia 2 roblox | Escape From Reality. Уровень 23

Прямой эфир Реал Мадрид — Реал Сосьедад 14 февраля 2026 смотреть онлайн

Up neX - Escape from Reality

RAINING IN OSAKA ?️ Rain Lofi Songs To Make You Escape From Reality ?️ Night Lofi Playlist

xo team reality 6

Roblox Apeirophobia | Chapter 2 - Escape From Reality | Level 17-24 Full Walkthrough!

ВСЯ ТВОЯ ЖИЗНЬ ЭТО КОТИКИ И МЕМЫ! - Escape From Reality

xo team reality 5

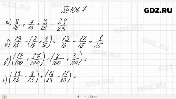
№ 1067- Математика 5 класс Виленкин

let's escape from this disappointing reality.

Escape from Tarkov

ФИНАЛ в игре АПЕЙРОФОБИЯ 2 роблокс | Apeirophobia 2 roblox | Escape From Reality. Уровень 24

Выжить в Стамбуле. Обсуждаем с Катей Гордон. «Все реалити» подкаст #24
Что ищут еще по теме:
- escape from reality
- escape from reality перевод
- escape from reality dark syndicate
- escape from reality stray kids
- escape from reality come with me
- escape from reality gysnoize скачать
- escape from reality come with me скачать
- escape from reality gysnoize
- escape from reality скачать
- gysnoize escape from reality