Найдено результатов: 100
Derivative Delights

Схема Бернулли

1 Hour Pilates Workout Advanced with Weights _ At Home Workout _ Low Impact

Derivative of Heaviside function and the Dirac delta

Человек и Закон 2009 09 10

Избавление (2024) / The Deliverance

Seka Aleksic - Soba 22 - official video.mp4

Derivative

DERMAVI CLINIQUE

Caroline Girvan - INTENSE Full Body HIIT Workout with Weights | EPIC II - Day 6

В БЮДЖЕТЕ ЕС БОЛЬШЕ НЕТ ДЕНЕГ НА ПОДДЕРЖКУ РУСОФОБСКИХ ШТАНОВ ПРИБАЛТОВ.ОЖИДАЕМО🤣

Nikola’s pilates 10MIN HIIT CARDIO WORKOUT|/ LOOSE WEIGHT WORKOUT AT HOME

Грузия. Поездка в Грузию из Минска на авто.

Виктор Бычков в роли дяди Вити

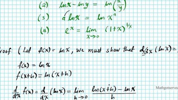
derivation of the derivative of ln x using limits d/dx(ln x)= 1/x proof rigorous Calculus AB BC

😱Я ПОТРАТИЛ 9,737,726 Робуксов, Чтобы СТАТЬ ТОПОМ МИРА в Survive LAVA for Brainrots

Лечебные Звуки Дельфинов, Снимают Стресс | Звуки животных

East vs west 12 ИНТЕРВЬЮ со звездами мирового армрестлинга #eastvswest #armwrestling #armfight #arm

Jinxxe Weight Gain Fat Belly Pregnant Loss Inflation Big Body With Stomach Hole Rollin By Devianart

Caroline Girvan - DEFINED Delts & Calf Workout / Dumbbells | EPIC II - Day 47

😱Зашёл в Grow a Garden СПУСТЯ 6 МЕСЯЦЕВ! ПОЧЕМУ JANDEL УНИЧТОЖИЛ ИГРУ ?!

Derivation of (D²/162) Unit weight of Reinforcement (steel) bar formula Derivation

САМАЯ ДОРОГАЯ МАШИНА КОТОРУЮ Я КОГДА-ЛИБО ВОЗИЛ | ОЧЕНЬ ДОРОГОЙ РОЛЛС-РОЙС

Triolan.Live - Харьков, станция метро "Победа" (26-06-2015)

Видеообзор ламп GX53 Ваше Сиятельство