Найдено результатов: 100
Clever Classroom Concepts

7 сынып физика 5.4 жаттығу

67-dars, Hosila, matematika

NOBAR MANJA - ESL ONE BIRMINGHAM 2024 - TUNDRA(WHITEMON) VS FALCON - BO3 - PLAYOFF

Перелистав известные тома...

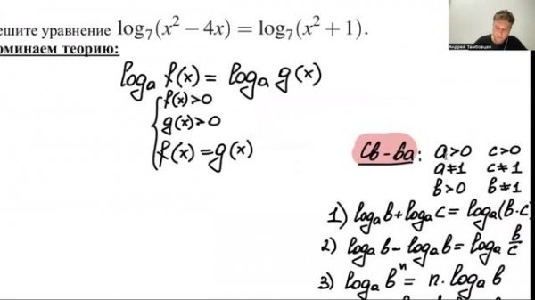
Логарифмы и степени с НУЛЯ (ч.1) ЕГЭ 2024

Желтоқсан оқиғасы (көрініс)

Отчет по BRZ X6M Спустя 100 м.ч Что стало с китайцем?

Привет Рунет: Так ли хорошо в Европе как рассказывают?

Concept cla class 2024 model

Өткенді бекіту. Математика 2 сынып, 81 сабақ

рекламные блоки, программа передач и окончание вещания М1 (05.12.2004)

Selmer Concept vs Claude Delangle | Classical Alto Sax Mouthpieces

MOST HIGHLY REQUESTED VIDEO! MY NIPPLE JEWELRY COLLECTION! | AngelVicious

Нашел ЗОЛОТОЙ бургер в Кидз Комбо. Мини Фест из Вкусно и точка. Собираю коллекцию.

The Perpetual Trauma of Child Sexual Abuse (Isn’t What You Think)

20.04.24. Старое русло Волги. Первая, весенняя фидерная рыбалка

Group classes video

ЧИТЫ...................В ГД Н#Х

ICEGERGERT - Классика кварталов | OFFICIAL VIDEO

New 2025 Mercedes Benz CLA Class Concept Details | Interior & Exterior

Nkeeei, uniqe feat. ARTEM SHILOVETS - Толпы кричат (Slowed Reverb)

4K HDR 240fps DOLBY VISION OLED Test Video (2024)

Clap Clapping - Rhythm Lesson. Quarter and eight notes/Восьмушки, чтение нот для начинающих

Обзор Фаберлик. Удобная новинка для кухни. (02.26г.) Семья Бровченко.