Алгебра 10 класс (Урок№17 - Степень с рациональным и действительным показателем.)
Описание
Алгебра 10 класс (Урок№17 - Степень с рациональным и действительным показателем.)
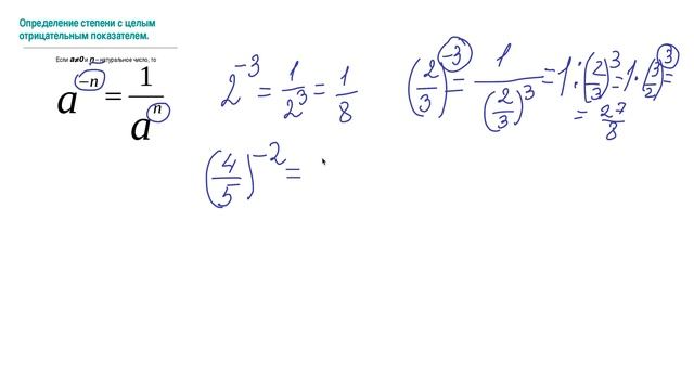
Мы уже знакомы со степенями с натуральным показателем. Это числа вида: 2^3, 6^2 и т.д. А что такое степени с рациональным и действительным показателем? Что у них общего и в чем их отличие от степеней с натуральным показателем?
Цель:
получить знания о степенях с рациональным и действительным показателем, научиться применять их на практике
Задачи:
дать определение степени с рациональным и действительным показателем;
сформировать умение нахождения значения степени с действительным показателем;
использовать свойства степени при упрощении выражений
мы узнаем:
о степени с рациональным и действительным показателем;
о свойствах степени числа с рациональным и действительным показателем.
мы научимся:
находить значения степени с действительным показателем;
применять свойства степени при упрощении выражений.
мы сможем:
объяснять применение того или иного свойства степеней.
Рекомендуемые видео




















