Город МОСКОВСКИЙ
00:24:44
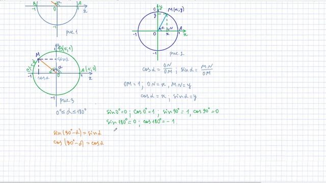
ТРИГОНОМЕТРИЯ С НУЛЯ: единичная окружность, основы, вычисление тригонометрических значений
Описание
После просмотра урока обязательно закрепи свои знания на игровом тренажере: https://learningapps.org/watch?v=pe86zmr5t23
А еще подписывайся на меня в телеграме, у меня там все секреты ЕГЭ: https://t.me/miromath_ege
Рекомендуемые видео

9 класс. Геометрия. Тригонометрические функции угла от 0° до 180°. Единичная окружность. Урок #1
5 238 просмотров

Как искать точки на тригонометрической окружности.
4 679 просмотров

Тригонометрия с нуля, урок 1(Введение в тригонометрию)
474 просмотров

Тригонометрическая окружность. Как ПОНЯТЬ и ЗАПОМНИТЬ?
8 689 просмотров

Уроки тригонометрии. Формулы приведения тригонометрических функций.
709 просмотров

Как быстро запомнить формулы приведения
581 просмотров

Что такое синус, косинус, тангенс и котангенс. Определяем знак тригонометрических функций. 10 класс
1 060 просмотров

Ниндзяго: Мастера Кружитцу – 1 сезон 3 серия «Змеиный укус» / Ninjago
121 190 просмотров

Тригонометрия.Числа на единичной окружности.
540 просмотров

10 класс Тригонометрическая окружность
2 766 просмотров

Тригонометрия | Построение тригонометрической окружности | Тригонометрия
161 просмотров

Простейшие тригонометрические уравнения | Математика 10 класс | Тригонометрия | Клуб репетиторов
268 просмотров

Звёзды в джунглях, 2 сезон, 4 выпуск
1 193 987 просмотров

ТИТАНЫ, 3 сезон, 5 выпуск
756 137 просмотров

Экстрасенсы. Битва сильнейших, 2 сезон, 23 выпуск
3 280 399 просмотров

Няня Оксана, 1 сезон, 1 серия
910 347 просмотров

Выживалити. Змееловы, 1 сезон, 1 выпуск
744 237 просмотров

Наша вина (2025) / Culpa nuestra
112 626 просмотров

ПРЯМОЙ ЭФИР с Николаем ПЛАТОШКИНЫМ 20.10.25
14 450 просмотров