Город МОСКОВСКИЙ
00:05:04
Creepypasta react to afton family memes // FNAF and CREEPYPASTA |MY AU?|English
Описание
hours{22:18} Day [19/2/2022]
#afton #fnaf #creepypasta #gacha #funtimekillerjack #gachaclub
Рекомендуемые видео

Creepypasta react to Afton family
1 763 просмотров

Реакция Крипипасты на Семью Афтонов|| Элизабет Афтон|| 1/5 часть
3 556 просмотров
![[FNaF] PAST William and his classmates react to The future Afton Family | GachaClub | DISCONTINUED](/images/video/97/0f/970ff460019fbaad5584c548e78e496c.jpg?width=640)
[FNaF] PAST William and his classmates react to The future Afton Family | GachaClub | DISCONTINUED
1 080 просмотров

||Creepypasta react to afton family memes (Elizabeth Afton) part 1||
4 800 просмотров

От стартапа к миллиардам: секретный соус Zerocoder
33 242 просмотров

?Creepypasta react to Afton family meme ||Michael Afton|| (3/4)?
822 просмотров

Fnaf 1 react to Elizabeth Afton/Moonlight09m/FNAF/Part 1/?
866 просмотров

Creepypasta React to Afton Family || 3/5 || RUS || !Read Desc!
3 910 просмотров

реакция старых одноклассников Деку на него 1/1
12 774 просмотров

✨past michael and his classmates react to michael?//(+13?)//¡special 900 subs!?1/#?//GC
1 745 просмотров

Hashira’s react’s to Tanjiro Kamado || KNY • Demon Slayer
4 372 просмотров

Glamrocks React to Michael Afton | GlamMike | FNaF 9 | Gacha Universal | Credits in Desc
5 860 просмотров

TIK TOK FNAF GACHA COMPILATION #4
2 185 просмотров

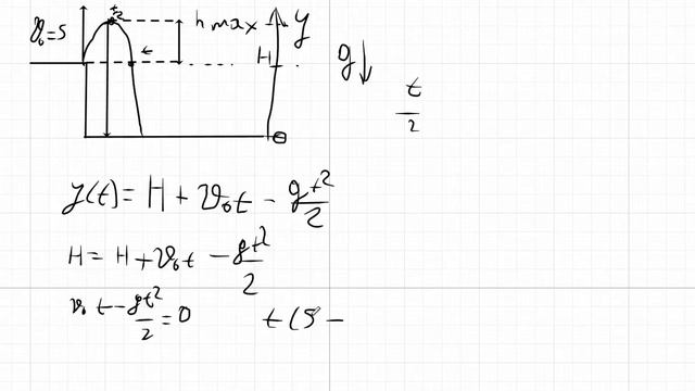
Свободное падение. Тело брошено вертикально вверх. Решаем задачу на кинематику
487 просмотров

Creepypasta React to Afton Family || 5/5 || RUS/ENG || !Read Desc!
823 просмотров

The Living Tombstone - Присоединяйтесь к нам, чтобы перекусить Remix (English)
3 313 просмотров

Tokyo Revengers react to Takemichi as Daniel Park (2/2)
734 просмотров

★.Реакция tiny bunny на Антона как Дрейка///(2 часть.)
4 940 просмотров

||Naruto Friends Shippuden react to Naruto as Uzui Tengen||
966 просмотров

❄️реакция высших лун на мадару Учиха и на кагуя оцуцуки ||гача||❄️
2 817 просмотров
