Город МОСКОВСКИЙ
00:04:15
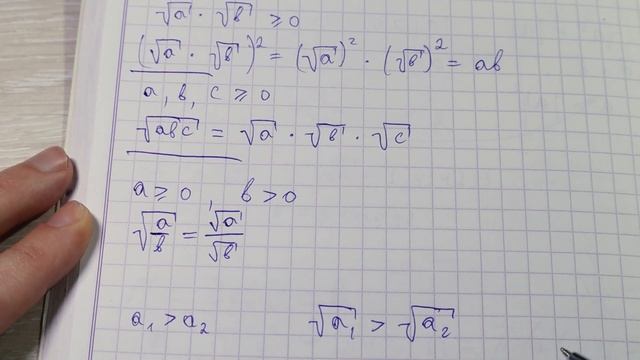
Квадратные корни. Арифметический квадратный корень. Алгебра 8 класс
Описание
Еще больше видеоуроков и других полезных материалов по математике для 5-9 классов на сайте https://dokina.nethouse.ru/
Рекомендуемые видео

Иррациональные числа. Алгебра 8 класс
497 просмотров

3_Квадратный корень. 8 класс.
16 293 просмотров

Уравнение х² = а. Алгебра 8 класс
2 431 просмотров

Алгебра 8 класс (Урок№18 - Квадратные корни. Арифметический квадратный корень из числа.)
20 951 просмотров

АРИФМЕТИЧЕСКИЙ КВАДРАТНЫЙ КОРЕНЬ. §12 алгебра 8 класс
3 427 просмотров

Квадратный корень из произведения и дроби. Решение заданий. Алгебра 8 класс
126 просмотров

Алгебра 8. Урок 6 - Квадратный корень. Вынесение и внесение множителя
795 просмотров

13. Действие деления | 5 класс
4 248 просмотров

Квадратные корни. Арифметический квадратный корень. Уроки для школьников
927 просмотров

Алгебра 8 класс (Урок№22 - Квадратный корень из произведения и дроби.)
1 687 просмотров

Арифметический квадратный корень. 8 класс.
52 просмотров

Свойства арифметического квадратного корня. Квадратный корень из произведения и дроби - 8 класс
221 просмотров

Тайна RAV4 раскрыта! Всё было до безумия просто...
135 052 просмотров

Звезды под капельницей, 1 сезон, 1 выпуск
770 103 просмотров

«Ак Барс». Правила жизни оруженосца
40 601 просмотров

МАМА В 16 | 4 СЕЗОН, 5 ВЫПУСК | ЕВА
788 192 просмотров

«Локомотив». По рельсам к мечте
35 283 просмотров

Украина: зима уже близко — Самые шокирующие гипотезы (20.11.2025)
31 003 просмотров

Максим Перлин о том, как заработать миллионы на рекламе
104 185 просмотров

«Трактор». Технологии здоровья
28 004 просмотров
