Город МОСКОВСКИЙ
00:07:04
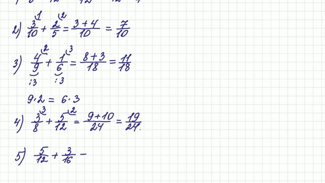
Приведение дробей к наименьшему общему знаменателю | 6 класс (демо)
Описание
Илья Панкратов, репетитор по математике:
Telegram: https://t.me/matematika5plus
VK: https://vk.com/matematika5plus
Весь 5 класс: https://stepik.org/a/242908
Весь 6 класс: https://stepik.org/a/243016
Урок целиком - см. в Telegram:
https://t.me/vilenkin6/135
YouTube: https://www.youtube.com/@matematika5plus
RuTube: https://rutube.ru/channel/33370846/
VK-видео: https://vkvideo.ru/@matematika5plus
Дзен: https://dzen.ru/matematika5plus
Рекомендуемые видео

Приведение обыкновенных дробей к наименьшему общему знаменателю. 5 класс.
31 422 просмотров

Приведение дробей к наименьшему общему знаменателю. (6 класс)
22 585 просмотров

Сложение и вычитание обыкновенных дробей | 6 класс (демо)
1 122 просмотров

Сложение и вычитание смешанных чисел | 6 класс (демо)
757 просмотров

ФЕСТИВАЛЬ НВМС ПАНЕЛЬНАЯ ДЕСКУССИЯ «Запрет страз — свобода выражения или ограничение творчества?»
8 275 просмотров

9. Приведение дробей к наименьшему общему знаменателю. Математика 6 класс
8 580 просмотров

Плоскость, прямая, луч, угол | 5 класс (демо)
424 просмотров

ПРИВЕДЕНИЕ ДРОБЕЙ К ОБЩЕМУ ЗНАМЕНАТЕЛЮ 5 6 класс
3 106 просмотров

10. Сравнение, сложение и вычитание обыкновенных дробей. Математика 6 класс
5 880 просмотров

КАК СМЕШАННОЕ ЧИСЛО ПЕРЕВЕСТИ В ДЕСЯТИЧНУЮ ДРОБЬ? Примеры | МАТЕМАТИКА 6 класс
7 062 просмотров

Деление дробей (6 класс)
43 107 просмотров

НОД и НОК, как найти, в чем разница? Математика 6 класс
7 493 просмотров

1. Среднее арифметическое | 6 класс
21 928 просмотров

Цивилизация | 1 выпуск | Каменный век. Охотники
398 313 просмотров

6. Разложение числа на простые множители. Математика 6 класс
5 813 просмотров

Как найти общий знаменатель математика 6 класс
6 723 просмотров
![📚🎶 1 ЧАС МУЗЫКИ ДЛЯ УЧЕБЫ Музыка Для Концентрации и Запоминания [Музыка без рекламы]](/images/video/2025-02-11/e3/8d/e38d3337b9b63aa5d7e9760f22072da5.jpg?width=640)
📚🎶 1 ЧАС МУЗЫКИ ДЛЯ УЧЕБЫ Музыка Для Концентрации и Запоминания [Музыка без рекламы]
10 738 просмотров

Ставка на любовь, 1 сезон, 9 выпуск
1 329 048 просмотров

МАМА В 16 | 4 СЕЗОН, 2 ВЫПУСК | АНАСТАСИЯ, УФА
1 069 444 просмотров

Экстрасенсы. Битва сильнейших, 2 сезон, 23 выпуск
5 478 820 просмотров
