Город МОСКОВСКИЙ
00:08:36
Умножение многочлена на многочлен. Объяснение + примеры. Алгебра 7 класс
Рекомендуемые видео

Деление в столбик многозначных чисел. Удобный приём
8 018 просмотров

Умножение многочлена на многочлен. Алгебра. 7 класс
2 416 просмотров

21_Произведение многочленов. Разложение многочлена на множители способом группировки. 7 класс.
22 011 просмотров

Второй признак равенства треугольников. Теорема и задача. Геометрия 7 класс
3 621 просмотров

БЕЗ СУФЛЕРА #57: Что будет с Gucci, ИИ-актеры и Пол Томас Андресон
1 880 просмотров

ПРОБУЮ ВСЕ НОВИНКИ ФАСТФУДА! Воппер-Пицца, Хреновое меню в ДоДо и др.
213 700 просмотров

7 класс Алгебра Умножение многочлена на многочлен.mp4
12 103 просмотров

Все типы 6 и 7 задания с НУЛЯ | Математика ЕГЭ ПРОФИЛЬ 2026 | Умскул
3 090 просмотров

умножение одночлена на многочлен 7 класс, урок 1
693 просмотров

Что такое многочлен и одночлен. Разбираемся. Алгебра 7 класс
4 968 просмотров

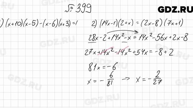
№ 399 - Алгебра 7 класс Мерзляк
331 просмотров

Вынесение за скобки общего множителя. Алгебра. 7 класс
1 377 просмотров

ОГЭ 2026. Математика. Вариант 5 из 50 вариантов. Под ред. И.В. Ященко. Задания 1 - 5
1 208 просмотров

Ист Нов Времени 7кл §22 Китай и япония: в поисках стабильности
5 109 просмотров

Silent Hill 4 The Room. Экскурсия по сюжету
876 просмотров

Я Нашёл САМЫЕ СЕКРЕТНЫЕ Способы ЗАРАБОТКА МОНЕТ На АНАРХИИ - Майнкрафт ФанТайм
23 851 просмотров

Телеканал "Большая Азия". Прямой эфир
784 923 просмотров

Разложение многочлена на множители. Часть 1. Вынесение общего множителя за скобку. Алгебра 7 класс.
32 просмотров