Город МОСКОВСКИЙ
                
            
00:08:07
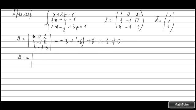
Математика Без Ху%!ни. Система линейных уравнений. Метод Крамера.
Описание
Математика Без Ху%!ни. Система линейных уравнений. Метод Крамера. Метод определителей. 
vkcom/sergejkuts
vkcom/matematikaprosto
Заказывайте онлайн помощь прямо сейчас и получайте скидку 10% !
Заходите к нам в группу ВК, подписывайтесь на канал!
Объясняем математику на пальцах ;)
Рекомендуемые видео

Метод Крамера решения систем линейных уравнений
1 738 просмотров

Решение систем линейных алгебраических уравнений  методом Крамера.
4 292 просмотров

Метод Гаусса за 7 минут. Система линейных уравнений
20 889 просмотров

Матрицы 10. Метод Крамера решения систем линейных уравнений. - 720
9 570 просмотров

2 минуты на формулы Крамера ➜ Решение систем уравнений методом Крамера
2 967 просмотров

Система трех линейных уравнений с тремя неизвестными. Правило Крамера. Свойства определителя.
707 просмотров

Математика без Ху%!ни. Метод Гаусса. Совместность системы. Ранг матрицы.
5 067 просмотров

25. Метод Крамера решения системы линейных уравнений
423 просмотров

Матричный метод решения систем линейных уравнений (метод обратной матрицы)
10 573 просмотров

Векторное произведение векторов. Площадь треугольника на векторах
3 440 просмотров

Система линейных уравнений.  Общее решение. Метод Гаусса
5 330 просмотров

Решение СЛАУ методом Крамера. Линейная алгебра
236 просмотров

Звёзды в джунглях, 2 сезон, 6 выпуск
1 460 322 просмотров

Экстрасенсы. Битва сильнейших, 2 сезон, 25 выпуск
3 749 252 просмотров

ТИТАНЫ, 3 сезон, 7 выпуск
771 547 просмотров

СЫРСКОГО ЧУТЬ НЕ УБИЛИ !
52 127 просмотров

Максим Перлин о том, как заработать миллионы на рекламе
33 514 просмотров

Секреты скорости — Наука и техника (02.11.2025)
17 746 просмотров

Запретная Индия: Гоа
50 018 просмотров

Алексей Пастухов, Клим Жуков. Монгольское завоевание Китая
4 794 просмотров
