Город МОСКОВСКИЙ
00:08:00
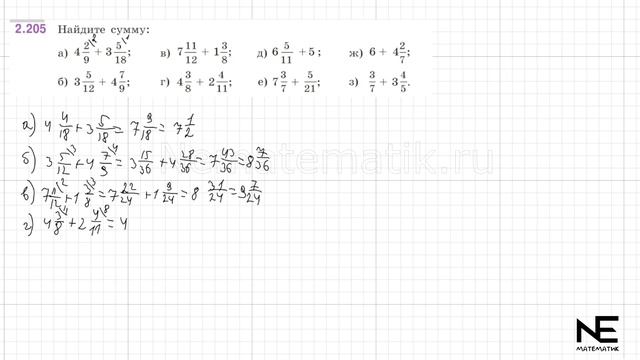
математика 6 класс номер 2.205
Описание
Сложение смешанных чисел
Поддержать автора можно по ссылке https://yoomoney.ru/to/4100118707936896
Рекомендуемые видео

математика 6 класс номер 2.206
563 просмотров

математика 6 класс номер 2.208 а-д
907 просмотров

математика 6 класс номер 2.246 а-г
3 516 просмотров

математика 6 класс номер 2.201
566 просмотров

ФЕСТИВАЛЬ НВМС «История спортивного костюма от олимпиады древней Греции до 20го века»
5 593 просмотров

математика 6 класс номер 2.207
734 просмотров

математика 6 класс номер 1.97
623 просмотров

Сложение и вычитание смешанных чисел. 6 класс
4 926 просмотров

Математика 6 класс. Сокращение дробей.
7 746 просмотров

Вот почему рыбалка БЕЗ ЭХОЛОТА вышла гораздо лучше!
1 922 598 просмотров

Задание №2.205 Математика 6 класс.1 часть. ГДЗ. Виленкин Н
151 просмотров

50 СЕКРЕТНЫХ БАССЕЙНОВ ! Только ОДИН тебя СПАСЕТ ! А4
197 464 просмотров

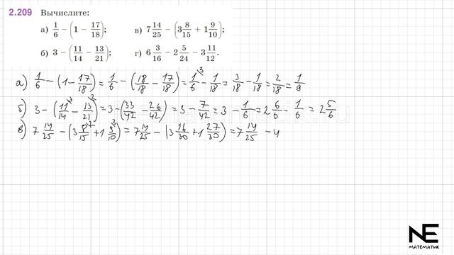
Задание №2.209 Математика 6 класс.1 часть. ГДЗ. Виленкин Н
70 просмотров

Ставка на любовь, 1 сезон, 8 выпуск
1 219 099 просмотров

Выживалити. Змееловы, 1 сезон, 2 выпуск
466 410 просмотров

Няня Оксана, 1 сезон, 1 серия
1 107 926 просмотров

Экстрасенсы. Битва сильнейших, 2 сезон, 22 выпуск
5 591 282 просмотров

МАМА В 16 | 4 СЕЗОН, 1 ВЫПУСК | ВЕРОНИКА, ТОМСК
1 006 106 просмотров

Наша вина (2025) / Culpa nuestra
485 131 просмотров

Звёзды в джунглях, 2 сезон, 3 выпуск
2 843 886 просмотров
