Город МОСКОВСКИЙ
00:02:08
математика 6 класс номер 2.201
Описание
Задача на движение вдогонку. Через какое время один догонит другого
Поддержать автора можно по ссылке https://yoomoney.ru/to/4100118707936896
Рекомендуемые видео

математика 6 класс номер 2.189а
316 просмотров

математика 6 класс номер 2.248
2 370 просмотров

Задание №2.202 Математика 6 класс.1 часть. ГДЗ. Виленкин Н
585 просмотров

Задание №2.316-2.320 Математика 6 класс.1 часть. ГДЗ. Виленк?
33 просмотров

Сложение и вычитание дробей
50 024 просмотров

Истории из жизни|Милая, послезавтра моя|Аудио рассказы|Аудиокниги слушать онлайн|Жизненные истории
14 583 просмотров

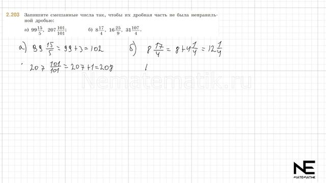
Задание №2.203 Математика 6 класс.1 часть. ГДЗ. Виленкин Н
339 просмотров

Экстрасенсы. Битва сильнейших, 2 сезон, 24 выпуск
3 926 003 просмотров

Ставка на любовь, 1 сезон, 8 выпуск
1 598 660 просмотров

Няня Оксана, 1 сезон, 1 серия
1 159 964 просмотров

Звёзды в джунглях, 2 сезон, 4 выпуск
2 679 773 просмотров

МАМА В 16 | 4 СЕЗОН, 1 ВЫПУСК | ВЕРОНИКА, ТОМСК
1 209 371 просмотров

ТИТАНЫ, 3 сезон, 5 выпуск
1 658 847 просмотров

Наша вина (2025) / Culpa nuestra
575 207 просмотров

Трон: Арес | Tron: Ares (2025)
882 494 просмотров

Выживалити. Змееловы, 1 сезон, 1 выпуск
1 380 644 просмотров

Брошена на 20 лет в гараже! Тачка из прошлого…
485 974 просмотров

Про фильм "Злой город"
92 648 просмотров

Сумерки (фильм,2008)
4 234 558 просмотров

Гарри Поттер и философский камень (фильм, 2001, 1 часть)
10 943 952 просмотров
