Найдено результатов: 100
The Answer Channel

Соль Неумывакин

Альтернативная История Франций 1815-2025

Стич vs Пикачу!

English File 4th ed Pre Intermediate Video Listening 4C The History of the Weekend

Сталинские репрессии ГУЛАГ. Док.кинохроника.

Windows® Vista Update error 80246002

English File 4thE - Pre Intermediate - Video Listening - 10C Invented by women

гр ГороД Выживший

Himcolin gel kab lagana chahiye | जानिए लगाने की सही तरीका हिंदी में |

Dying Light_ The Following 4 Серия ( Опять Они )

АВТОЗАПУСК ВАЗ 2112

Скриптонит Поворот

В космической туманности "Яйцо" найден ответ на "Яйцо или курица?"The answer to "Chicken or egg?"

Дмитрий Хмелев "Рождение".avi

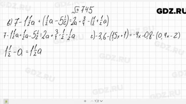
№ 745- Алгебра 7 класс Макарычев

Extra English Episode 1

Тюрьма как есть

Creepy Furby Stories

Большое Голоустное авиаэкскурсия 2021

По ту сторону - Вторая серия

Гордийчук модуль2,урок4 контактный пункт

Шрек 2 (PC) Все Боссы

Я молчу - Лимонадный Джо

Голубые маки, (кавер)