Найдено результатов: 100
Systematic Solutions

systemctl access denied when root (3 Solutions!!)

Лучшие хиты System of a Down

P0420 Catalyst System Efficiency Below Threshold (Bank 1) 🟢 Trouble Code Symptoms Causes Solutions

Digital Automated Systems

System Design : Multi Level Cache Part 2: Solution, Code and Design | Low Level System Design

System Of A Down - Aerials

Видеообзор линейки SystemePLC SR и S172

System of a down - Byob

System Of A Down - Chop Suey!

1.06 - Systematic Mapping for Instruments

Աննա Աշոտ Սարուխանյան

Cardox CO2 Rock Breaking System, Equipment n Solutions - How it functions, Use

Online Reservation System: о компании (Official video)

Top 20 Computer Problems with Solutions

P0420 catalyst system efficiency below thresold bank 1 | p0420 bypass easy | easy solution | urdu

Открываю Секрет забытой схемы Бедини для БТГ Free energy solution

Regular Expression Matching Dynamic Programming | Leetcode Hard Solutions

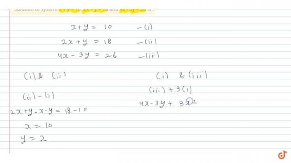
Solution of system x + y = 10, 2x + y = 18 and 4x - 3y = 26 is :

II PUC SOLUTION 04

CM2MTK v1.58 Not Open Solution (fault.bin) Just Solution

BWapp : Session Mgmt. - Cookies (HTTPOnly) Vulnerability Solution (LOW Security)

Рабочие старт параметры для Media Station X в 2025! Настройка за 2 минуты

CRISPR/Cas System

TOOL SYSTEMS | QBRICK PRO PROFESSIONAL SYSTEM
Что ищут еще по теме: