Найдено результатов: 100
Dertas_50

Канистра Glass Flow 50 л — новинка с антибульк-системой

Три великих Псалма 26,50,90 с текстом по порядку.

Три великих Псалма (26, 50, 90 с текстом) Живый в помощи

Каролина От Рождения До 50 лет!

Fifty Shades of Grey - (50 оттенков серого) ALL SONGS FROM 3 PARTS #50shades #grey

Псалом 26, 50, 90 С текстом (Живый в помощи)

Modern Talking & 50 Cent

Баста 50 лучших песен

Ван-Пис 50 серия (аниме-сериал, 1999)

ВЫШЛИ TECNO CAMON 50 / 50 PRO - ЧТО НОВОГО?

50 САМЫХ НЕВЕЗУЧИХ ДЕТЕЙ В МИРЕ! РЕАКЦИЯ

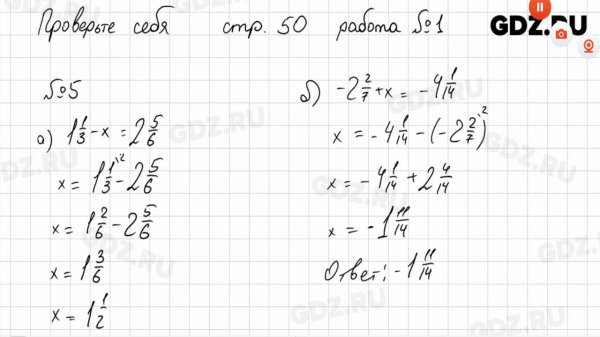
Проверьте себя, стр. 50 № 1-2 - Математика 6 класс Виленкин

СЕРГЕЙ ТРОФИМОВ ✮ 50 ЛУЧШИХ ПЕСЕН ✮ САМЫЕ ЛУЧШИЕ И САМЫЕ ДУШЕВНЫЕ ХИТЫ ✮

ЧСВШКА НЕ ХОЧЕТ 50 НА 50

БОЛЬШОЙ СБОРНИК ЗАДУШЕВНЫХ ПЕСЕН 50-60 годов

Клятва 1 сезон 50 серия (сериал, 2019)

Вот ПОЧЕМУ СТОИТ Купить Смартфон Infinix Note 50 Pro+ 5G+ и чем ОН КРУЧЕ Xiaomi и Samsung

Даша Дошик vs 50 ХЕЙТЕРОВ! **послала подписчиков**

50 TARI 50 Тари #50tari #50тари

50 Cent - Many Men (Wish Death) (Dirty Version)

МИА БОЙКА vs 50 ХЕЙТЕРОВ!**извинилась перед квадроберами?**

Одинокий мужичок за 50... - ДМИТРИЙ Василевский - СУПЕРХИТ ЦЕЛОГО ПОКОЛЕНИЯ! @romantika_shansona

KEF LS 50 vs KLH model 3 part one of two videos ( KEF LS 50 meta)

ЧТО МОЖЕТ ДАТЬ ПPOCPOЧKA В 50 ЛЕТ