Найдено результатов: 100
Delta Function

Dirac's Delta Function

Excel Delta Function

EDE - Delta function and impulse response

Dirac Delta Function PYQ of JEST EXAM (2012-2023) of mathematical Physics

DELTA VFD EL CONFIGURATION

The bound state solution to the delta function potential TISE

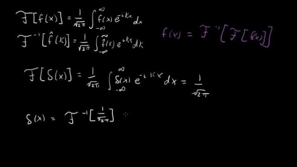
Fourier transforms and delta functions

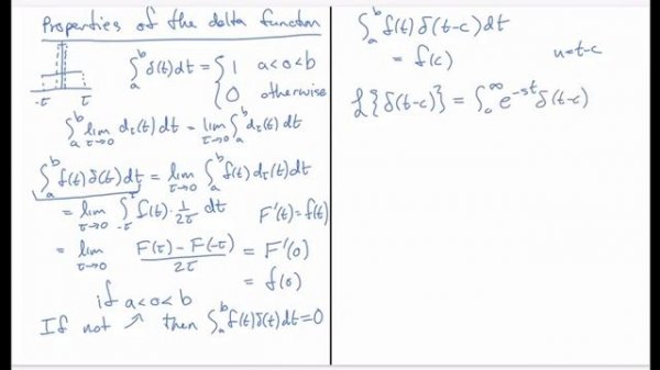
Properties of the (Dirac) delta function

Dirac Delta Function

Delta Function in Excel

The Fourier Transform and the Dirac Delta Function

ОАО "Буровая компания "Дельта": главный офис, текущие объекты, выполненные объекты.

Delta DOP100 new function LUA TCP Socket and Data Exchange

*** Dirac Delta Funktion

Дельта-спецподразделение |Delta Force|

Delta Force

Delta AS PLC Modbus serial read write function

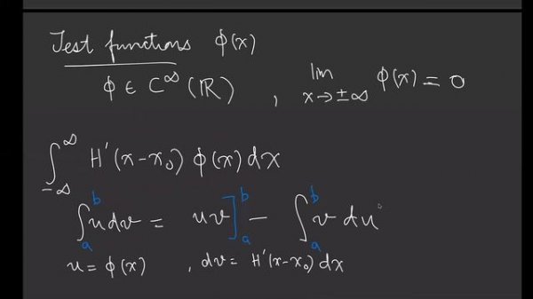
Derivative of Heaviside function and the Dirac delta

Delta Welding Malaysia- Riland TIG ARC 200A Dual Function welding machine Malaysia

Delta MS300 Multi-Function Input Control via Modbus

Delta DVP PLC Modbus serial read/write function demo

СКОРОСТЬ И КАЧЕСТВО В ОДНОМ ФЛАКОНЕ! 🔥

«Дельта. Продолжение». 15 серия | Сериалы НТВ

DELPHI Урок № 25 Функции в Delphi (Function).mp4