Город МОСКОВСКИЙ
Найдено результатов: 100
Компьютерные Уроки Для Всех Уровней

Создаём целый уровень из ОДНОГО объекта

Закулисье - САМЫЕ мрачные уровни. Как попасть в Backrooms_

Физика Профильный Уровень

Экономические задачи повышенного уровня сложности на ЕГЭ профильного уровня виды и способы решения

Повысьте уровень своей Разминки для всего тела

БОНУС-КОД ДЛЯ ВСЕХ - БЕСПЛАТНЫЙ ПРЕМ ТАНК 8 УРОВНЯ!

Уроки арабского языка для НАЧИНАЮЩИХ | Арабский алфавит Урок 2

Как собрать все синие монеты в 3 уровне в ГД в The Tower.

Уроки арабского языка для НАЧИНАЮЩИХ | Арабский алфавит Урок 3

Линии уровня и поверхности уровня функции многих переменных

Точно Царь всех Бабах! Главная Мощь в Мире Танков! Первые 13т урона на Ядерном Танке Штурмтигр!

2 задание бесплатного курса по книгам. Создаем персонажей

СТОЮ УРОВЕНИ ЗА 1 МИН ЗА 5 МИН И ЗА 10 МИН

2.1. Создание уровней

Решаем задачу с производными. ЕГЭ по математике Базовый уровень/ Профильный уровень.

Производная и ее график

Говорите какие уровни проходить

Уровень веселья, информация уровня

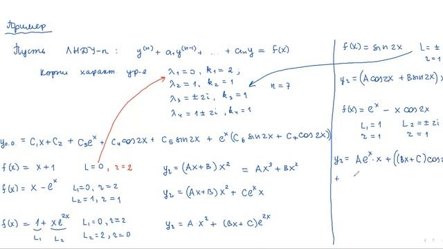
Линейные дифференциальные уравнения высшего порядка с правой частью специального вида

решение уравнений

Удивительные инструменты нового уровня (1080P_HD)

Уровень 16 (2018)

Урок 2.6 Построение уровней

Безопасность на воде для детей_ Видео 5