Найдено результатов: 98
К76 9

Fallout 76 ➤ Серия 9 ➤ Поиски текстиля ➤ Прохождение 2025

Коктейль для блонда.9/76+9/16.Какой цвет?

Fallout 76. #9 Новоприбывшие

76-Уравнения с модулем. Подготовка к экзаменам. 76 часть. 9 класс.

Контуринг+ микромелирование. Пошагово. Тонирование Эстель 9/76+9/65.

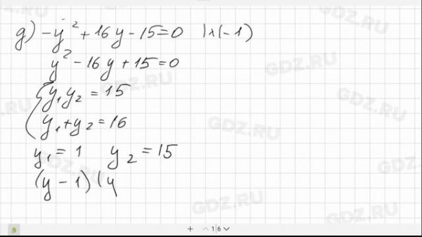
№ 76 - Алгебра 9 класс Мерзляк

Fallout 76 | Фоллаут 76 | Обзор | Прохождение на Русском - Часть # 9

76. Теорема косинусов. Практическая часть 3. 9 класс

№ 76 - Алгебра 9 класс Макарычев

76_Формулы сложения. Практическая часть. 9 класс.

7690443

Окрашивание волос.Тонирование Эстель принс+.9/0+9/16 и 9/76.

№76 Врата потускневшей славы. Dragon Age: The Veilguard. Прохождение на сложности «Кошмар»

English Spotlight 4 p 76-77 (p 8-9 part 2) Спотлайт 4 стр 76-77 (стр 8-9 часть 2)

Fallout 76 #9 Лучше перебдеть

1000002347.mp4

Spotlight 3 класс Урок 9b Часть 2 стр 8-9 (старое изд. 76-77) Спотлайт/ Английский в фокусе 3 класс

769.mp4

3331. Хлеб на каждый день. 9 ноября. Псалом 76:9

ЭВОЛЮЦИЯ СПРИНГТРАПА. ВСЕ ИЗМЕНЕНИЯ СПРИНГТРАПА С 3 ПО 9 ЧАСТЬ ФНАФ ( Five Nights At Freddy's )

76

7613014542942

Firewatch (Пожарный дозор) | День 76 | #9

764.mp4