Город МОСКОВСКИЙ
Найдено результатов: 100
Физика В Простом Языке

Квантовая физика простым языком - поймут все

Самые зрелищные эксперименты по физике ⚡ ПРОСТО ФИЗИКА с Алексеем Иванченко.

Квантовая физика | ПРОСТО ФИЗИКА с Алексеем Иванченко.

В Одессе полиция приехала в ночной клуб из-за песни на русском языке

физика

Переезд на канал Просто физика.

Сгорание топлива простым языком | Физика 8 класс

МУКБАНГ//УЖИН// МУКБАНГ В РОССИИ//КРУГОМ МОШЕННИКИ

Физика Шары массами 6 и 4 кг, движущиеся навстречу друг другу со скорость 2 м/с каждый относительно

😨КАК ЛЕГКО ПРОЙТИ НОВЫЙ *Лабиринт с Монстрами* в 99 Ночей в Лесу в Роблокс! Пройти The Maze 99 ночь

Руслан Нургалеевич - Физика

Вышиваю в октябре Дама в саду Клод Моне

Расчёт пути и времени движения. Физика 7 класс. Урок 9

Гуляю в парке и Общаюсь))

Физик-ядерщик стал священником / Господь спас сына под колесами поезда / Простые чудеса

Физика в теории и на практике: как сделать уроки интересными и эффективными?

Прилагательное из 55 букв является самым длинным словом в русском языке

? Электричество это просто ▶▶ Природа электричества ▶▶ Физика электричества ?

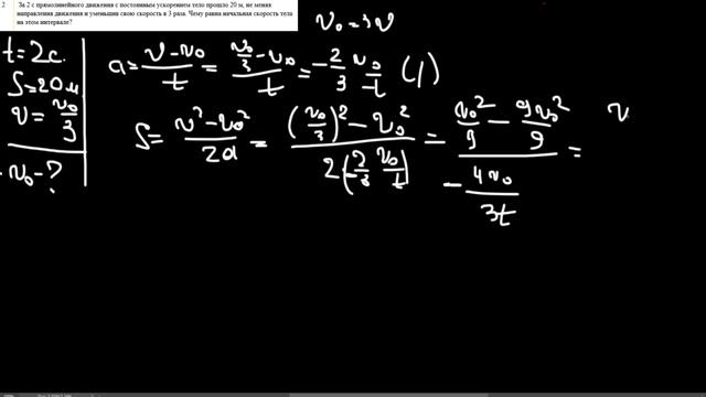
За 2 с прямолинейного движения с постоянным ускорением тело прошло 20 м, неменяя направления движен

Физика. Опыты. Динамика распространения тепла в стержне

Колебания с Нуля в ОГЭ| Физика ОГЭ 2026

9.Астрофизика и Астрономия или Вселенная простым языком

Лекция «О людях науки простым языком: вклад псковичей в отечественную науку»

Самое длинное слово в русском языке назвали в Институте Пушкина