Найдено результатов: 100
Seldon Basis

04 - Basi

Boss Baby/Dance Monkey/ Босс Молокосос/Данс монкей

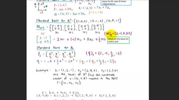
4.4 Coordinates and Basis

Рено Мидлайнер 5.5л 1990г тнвд Bosch Basis и форсунки из г Севастополь

4.4 Basis and Coordinates

Seldon 1.7. Обзор аналитических отчётов

Handel Sarabande (Гендель Сарабанда)

Mike Tyson vs Bruce Seldon - Seldon Was Terrified And Destroyed

По половому признаку/ On the Basis of Sex (2018) Дублированный трейлер

Mr.Credo чудная долина

Seldon.Control

Seldon Обзор системы

По половому признаку/ On the Basis of Sex (2018) Трейлер

Seldon Doc Обзор функционала

Selda Bağcan - Selda Bağcan'ın Klasikleri (25 Eser)

ВЛОГ С БАСИКАМИ | целый день с Басиками

Seldon.Doc | Обзор функционала

Подойдёт ли к Хмельнице Basis плита Iplate Alisa?

Домашнее пиво, виски, спирт на пивоварне Хмельница Basis.

СТЭМ. Басков и команда КВН "СОК"

Teddy Swims - Lose Control (sax cover)

Selena_eidoss

Seldon 1.7. Как проанализировать закупку?

СМЕРТЕЛЬНЫЙ КОКТЕЙЛЬ ИЗ МАКДАКА | Гримас и забытые персонажи Макдоналдс