Найдено результатов: 100
Mischievous Function Teto

TASSO-Таю

Teto Kasane - Teto Teto☆Wonder In The Night

Kasane teto - Teto Territory (slowed)

Como Kids TV | BEST Episodes 60min | Cartoon video for kids

HARD Mischievous Function

Helpful Technic-Functions

Teto Kasane - Blink of Goodbye

hu tao x slime

Teto Kasane - Reverse Universe (Cover)

Format function in python

【ぴーなた ft. Kasane Teto】求&影 (Q&A)

【Yoshida Yasei feat. Kasane Teto】Override

Приключения Тайо (Tayo the Little Bus) - Theme Song (Persian)
![Ai♡scream! (愛♡スクリーム!) feat. Hatsune Miku, Kagamine Rin, Kasane Teto [Cover]](https://pic.rtbcdn.ru/video/2025-10-21/d0/02/d0022692536ef85a06b674efbd867544.jpg?width=640)
Ai♡scream! (愛♡スクリーム!) feat. Hatsune Miku, Kagamine Rin, Kasane Teto [Cover]

TETO PRETO - BATE MAIS

Teto Kasane - Chocolates And Meteorites (Cover)

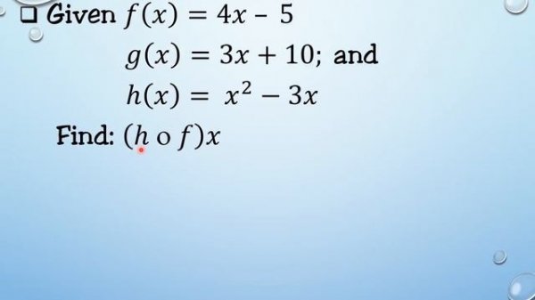
GenMath_Composition Of Functions

Soft body Tetris jello edition v2
![MINIMUM RAGE [ft. Kasane Teto]](https://pic.rtbcdn.ru/video/2025-10-26/59/84/59849c91aa801a09fce93ad23d9fead0.jpg?width=640)
MINIMUM RAGE [ft. Kasane Teto]
![Everlasting Fun [My Take] -【 KinitoPET ANIMATED MUSIC VIDEO】](https://pic.rtbcdn.ru/video/2025-02-05/74/b5/74b5a335231eee73985232ebf40baba1.jpg?width=640)
Everlasting Fun [My Take] -【 KinitoPET ANIMATED MUSIC VIDEO】

use of keys() and values() function in python dictionary ...

Error función no disponible se desactivo esta función porque ralentiza el teléfono solución

DOROGI FUNK

🚫WARNING: ITALIAN BRAINROT FUNK MIGHT MELT YOUR BRAIN 💀 | 🎧 Italian Brainrot Funk / Phonk Playlis