Найдено результатов: 99
Learning Cofix

Франшиза COFIX отзывы

КОФЕМАНИЯ ПРОТИВ COFIX | Сравнила дорогую и дешевую кофейни

VFX Learning FX Masterclass 28 Boss

Machine Learning | Урок 1

Machine Learning | Урок 2

learning

Абидин. Мигрант о Москве и Работе в Cofix

Learn_to_use_termex_app

Learn ABC with Pinkfong | Learn Animals | @PinkfongPlayground

Extra English Episode 2

Business and ethics. | British Council-Learn English.

Изучаем learningapps

Falling In Reverse ZOMBIFIED

Face (Object) detection with deep learning, OpenCV and Odoo

Кафе «Cofix” в Москве

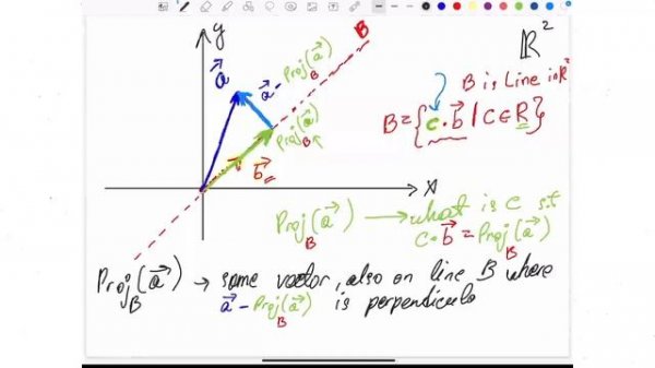
Linear Algebra for Machine Learning - 3of3

Конкурсный рекламный ролик для компании Cofix

Maxi Cosi CabrioFix | обзор-инструкция | на английском

Работа с программой SmartFix.mp4

Spotlight 7. Модуль 6b. Teen camps

Какое будущее ждет франшизу Cofix?

IU - Coin / Learner's Class

ABC Song
![LE SSERAFIM (르세라핌) - 'EASY' [English Ver.] (Color Coded Lyrics) [1 Hour Loop]](https://pic.rtbcdn.ru/video/2025-03-10/a5/6d/a56d40d56d44c1b1b7c1bcc3ee702171.jpg?width=640)
LE SSERAFIM (르세라핌) - 'EASY' [English Ver.] (Color Coded Lyrics) [1 Hour Loop]
Что ищут еще по теме: