Найдено результатов: 100
Integrand

Определенный интеграл. Что это такое?

Анекдот про 152 статью 2 часть

сборник анекдотов. 8 часть

Татарские анекдоты от Фирдуса Тямаева

МАРК ВОЛОГДИН: ОТДАЛ ЗДОРОВЬЕ ЗА КОНТРАКТ С UFC / Дана Уайт В ШОКЕ от ЭТОГО РУССКОГО / КТО ОН ТАКОЙ

Серенада маркиза Рикардо для Дианы Анкудиновой (композит)

БОЛЬШОЙ ПРОГНОЗ НА 2026 ГОД / Ожидаем резкое падение цен? Константин Дараган

Тадбиркорни ўлдириш учун киллер ёллаган боксёр ва Роналдо. Қўлга тушган наркобаронлар

Ералаш

Legrand Cariva - prize si intrerupatoare cu montaj incastrat

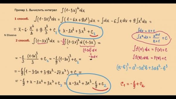
Интегралы 1.5 Метод непосредственного интегрирования Примеры (720p)

intruder.mp4

АНАР и ПИНК ВСТРЕТИЛИ НАДОЕДЛИВУЮ ДЕВКУ!😡| ЛЮТЫЙ ДВИЖ НА СТРИМЕ! | анар абдулаев

Рихард Зорге: Как советский супершпион изменил ход Второй Мировой войны / Личности / МИНАЕВ

Пожар в тц teardown 1 часть

Огромный пожар в тц #teardown

ЯНГИ ХИНД КИНО УЗБЕК ТИЛИДА 2023 /Индийский кино

int
![[ИНТЕГРАЛ]Что это?](https://pic.rtbcdn.ru/video/86/a5/86a545a13cef24b6856a82f123bbb714.png?width=640)
[ИНТЕГРАЛ]Что это?

T1One, Inur - Вино помогает (Benad Prod.)

Вышмат. Несобственные интегралы. Исследование на сходимость интегралов знакопостоянных функций

Oxygen Not Included За 100 часов | Этап 1/3 - Освоение

Определенный интеграл и применение интегралов

Интегралы 1.2 Метод непосредственного интегрирования. Часть 2 (720p)
Что ищут еще по теме: