Найдено результатов: 100
Integral Formulas

Playstation - Formula 1 '97 commercial (1997)

18+ ИНТИМ с БОЛЬШИМ членом

Круглосуточный магазин Сэт Бёль 2 серия русская озвуч?

How to use Quadible Integrity's 11th Power Formula

РЕШАЛА 2

Лучшие моменты сезона Формулы 1 в 2024!

seks

Форсаж 2 2003

"Формула" интегрального общества. Часть 2

Иманбаев Н.С./Комплексті анализ./Коши теоремасы.Кошидің интегралдық формуласы.

What is Double integral? Triple integrals? Line & Surface integral? Volume integral? #SoME2

Интеграл свёртки: вывод формулы и её смысл
![[ИНТЕГРАЛ]Что это?](https://pic.rtbcdn.ru/video/86/a5/86a545a13cef24b6856a82f123bbb714.png?width=640)
[ИНТЕГРАЛ]Что это?

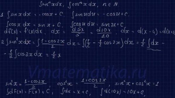
Неопределенный интеграл. Интеграл от синуса и косинуса в квадрате

Официальный трейлер "Формула 51 / Formula 51 (2001)"

видео интюшиха

Лекция 158: Вычисление интегралов. Формула прямоугольников и формула трапеций

18+! Анальный секс: Давать или НЕ Давать? Правила анала.

Первый взгляд||Formula Evolution 2024

В Чувашской Республике раскрыли сеть массажных интим-салонов с "филиалами" в Саратове

Video 2034.50 - Recursion Formula - Integrate 1/(x^2+1)^n - (Part 2/2)

Yeliana - Formula Of Love (Cover Eng)

⚡️ Формула смысла | СОЛОВЬЁВLIVE | 9 февраля 2026 года

Фирдус Тямаев