Найдено результатов: 89
Theinkexplorer

Делаю игру 068 - Колхозный Continuous Integration

Моя коллекция сумок! Петербург, шопинг, еда

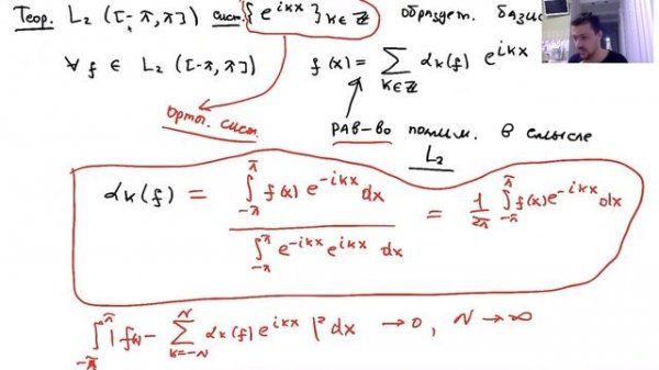
Абсолютно непрерывные функции. Ряды Фурье.

Just Ken for 10 hours straight

СИЛЬНАЯ НЕРВНАЯ СИСТЕМА

Огонь и Вода: в светлом храме

Как распечатали население,выкачка энергии

YouTube блогер болуунун сырлары

Тонкие тела и возрастные посвящения

Бенито Муссолини: Картонный лев Италии

Ночные прогулки по вегасу

現役サラリーマンの全国制覇旅|災害級の雨、キャンピングカーで神奈川から青森へ!2500km・8日間の旅|キャンピングカー 車中泊【総集編】

#FixPrice /Покупки/#3/Обзор

Куклы наследника Тутти. Разбор манипуляций

Биотюнинг со Станиславом Полозовым

Короткий этюд гипсовой головы

ЛУНТИК, НО ЭТО АНИМЕ? ► ВИКТОР - РЕАКТОР