Найдено результатов: 98
Javascript Snippets

JavaScript tutorial 47 - IN operator in JavaScript

Streams - JavaScript

Assassin Class Guide - Dragon Raja! Everything You Need To Know

Baby Einstein Music Video No. 39

How to Make a Discord Python Selfbot | Working 2023

Neo4j - WebSocket Connection Failure - How to Fix!!!
![RYAN MILES - Wicked Game (Bachata Version 2019) [Official Video]](https://pic.rtbcdn.ru/video/70/01/700155d705181f214475793b44917c55.jpg?width=640)
RYAN MILES - Wicked Game (Bachata Version 2019) [Official Video]

Epic Ragdolls GTA 5 тряпичные куклы эпизод 1

Patrolling Platformer Enemy - Godot 4 Platformer Tutorial - Part 7

Saya no Uta — Красивый Кошмар | Кратко | Без спойлеров

Клавиатура для клона zx spectrum из старой механической

GW2 | Ready Ore Not | Flame & Frost Achievements

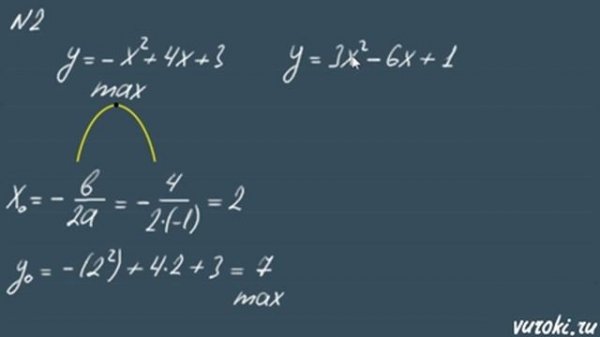
КВАДРАТИЧНАЯ ФУНКЦИЯ график квадратичной функции

геткурс изнутри настройки профиля

Yamaha WXC-50 streaming preamp with MusicCast | Crutchfield

2 Сшивание деталей. МК "Мышонок" в стиле тедди

Cupid - Cupid Shuffle (Music Video)

Узор-сеточка ''Женева''.

?? The Ultimate Bob Marley Inspired Chill Lofi Reggae Mix

Делаем бота-игру для вк на Python

АСМР Мурашечное расчесывание и перебирание волос с Ингой

Создание лендинга на конструкторе RockeTON

FERRAGAMO Spring Summer 2023

#4. Коллекция CoolTables, массивы {} и запросы QUERY. 47 формул
Что ищут еще по теме: