Найдено результатов: 98
Js Developer

Создай Приложение Калькулятор c Flutter | Dart

066 - Бюджетирование в 1С:Документооборот

Wordpress Developer & Elementor Expert | Front-end Developer

Hamidimiz ???

How to make Mp3 music player || Part - 4 || HTML, CSS & JavaScript --- Developer Dude

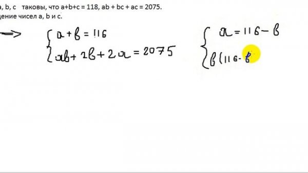
Найти произведение трёх простых чисел

Интенсив по JS

telegram-cloud-document-2-5235694098807036111

Решето Эратосфена

Crop Image App on Thunkable

Introduction React JS Core and Full Stack development

NO BATIDÃO (1ЧАС) НА 50 ПОДПИСЧИКОВ

Discord.js V12 Bot Development - Get Bot Up & Running - Episode 02

Install Editor.js in vue.js | Full Stack Laravel Vue Development | Part 33

Как_я_зарабатываю_лазая_по_мусоркам_Dumpster_Diving_RUSSIA_#91

Zayniddin Ruzmatov - Intern Fullstack Laravel / JavaScript Developer

Какой курс доллара к песо?

WordPress Plugin Development with React JS - Part 01

Web3.js Utilities · Web3.js · #8 Ethereum Blockchain Development Crash Course

Разработка игры на React JS #20: Цель игры / Game development React JS

Притворись моей женой | Just Go with It (2011)

СОЗДАЕМ ВИЗУАЛЬНУЮ НОВЕЛЛУ ТВОЕЙ МЕЧТЫ

Самое лучшее приложение для съемки экрана

AstraLinux Live (VLC запись экрана)
Что ищут еще по теме: