Город МОСКОВСКИЙ
Найдено результатов: 100
Геометрические Задачи От Простого К Сложному

Первичный вал

Необыкновенная математика обыкновенного | Сергей Оспичев

7 класс. ВПР. Задание 5. Задача на проценты.

Тригонометрия. Арки.

ОГЭ вариант-2 #2

23. Длина окружности и площадь круга. Шар. Математика 6 к

Как применить z величины

Актуальный разговор - "Луч Света"

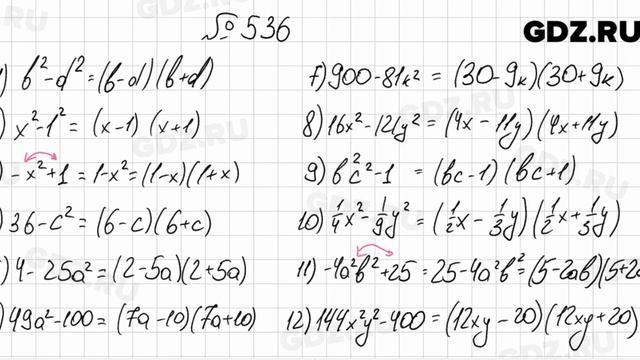
№ 536 - Алгебра 7 класс Мерзляк

Узор с пышными столбиками

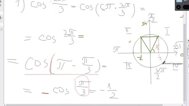
Формулы приведения. Пример на единичной окружности

Задача Дирихле для уравнения Лапласа в кольце и секторе

70 Теорема о вписанном угле

Функция у=ах² (а больше 0).

Логарифмы. Вывод основных свойств логарифмов.

Шар, сфера. №5

Решаем ЗАДАЧУ ПО ФИЗИКЕ вместе | Скольжение по траектории | ЕГЭ, ОГЭ, Олимпиады

Виленкин, Математика, 6 класс, задача 756

Иродов. Решение задачи 5.179

Куба, Варадеро

Задание №78 – Гдз по алгебре 8 класс (Мерзляк)

Сложная задача с которой трудно справиться даже прирожденным математикам ?

№8 ЕГЭ математика профиль 2024

Как выточить шар