Найдено результатов: 100
Sinx A

Синий трактор и машинки помощники 🚑🚒🚜 Детская песенка

"İmam Zaman (ə)-ın mövludu" - Ağa Firuği 03.02.2026

27. Построение графиков функций y = sinx и y = cosx.mp4

LIVE: C.A.Y. Records Digital Record Label

DATE A BRAWLER! 🥵

For and Since. Since қазақша. For Since айырмашылыгы. What's difference For and Since

Лучший мегамикс 90-х ★ Суперхиты евродэнса 90-х, ремикс от DJ Ramezz ★ НОВЫЙ МЕГАМИКС ЕВРОДЭНС 2025

LIVE: U_F_A

Так вы русский?

ИНТЕРЬЕР СОВРЕМЕННОГО ОФИСА 420 м². В СТИЛЕ ЛОФТ | РУМ ТУР.

Joe Dassin-A Toi

Маска сварщика Хамелеон — Aurora A-998F BLACK COSMO

Ледниковый период 4: Континентальный дрейф | Ice Age: Continental Drift (2012)

🤯 SINIX DESIGN TUTORIAL | @sinixdesign Style Study (How To Paint Stylized Character Art!) 😱

Лада Седан Баклажан. Тимати feat. Рекорд Оркестр.

Fi4 - IT'S A LITTLE COMPLEX

простейшие уравнения с sinx: 1)sinx=√2/2; 2)sinx=-√3/2

КЕЙ ПОП ДЕМОН ХАНТРИКС

k-a-r-a-m-e-l.art.

малиновая лада ВИКС музыка

Graph of sinx+cosx, sinx.cosx, tanx, cotx (sine and cosine Graphs, tangent and cotangent Graphs)

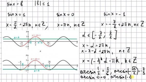
Уравнение sinx=b - алгебра 10 класс

золотые к поп хандрикс

Mr Credo - Плачет Азия Remix